Get the free Consolidated Lodging Tax Grant Application Guide
Show details
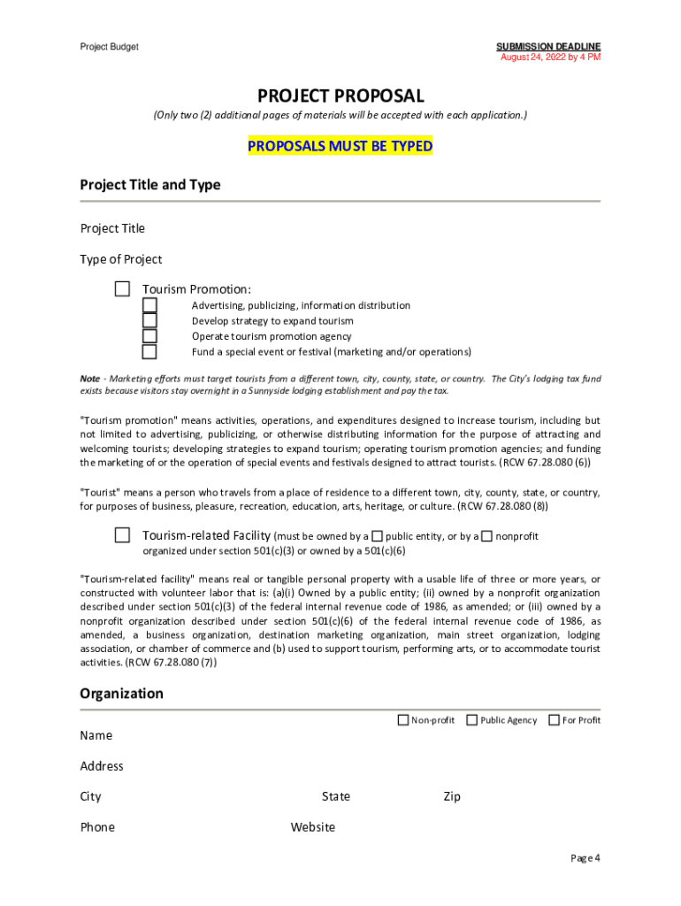
Request for Proposals2023 Lodging Tax Funding Application AUGUST 24, 2022, BY 4 PM RFP Purpose Each year the City of Sunnyside receives funds from the lodging tax imposed upon hotels and motels located
We are not affiliated with any brand or entity on this form
Get, Create, Make and Sign consolidated lodging tax grant
Edit your consolidated lodging tax grant form online
Type text, complete fillable fields, insert images, highlight or blackout data for discretion, add comments, and more.
Add your legally-binding signature
Draw or type your signature, upload a signature image, or capture it with your digital camera.
Share your form instantly
Email, fax, or share your consolidated lodging tax grant form via URL. You can also download, print, or export forms to your preferred cloud storage service.
How to edit consolidated lodging tax grant online
To use our professional PDF editor, follow these steps:
1
Log in to your account. Click on Start Free Trial and register a profile if you don't have one yet.
2
Upload a document. Select Add New on your Dashboard and transfer a file into the system in one of the following ways: by uploading it from your device or importing from the cloud, web, or internal mail. Then, click Start editing.
3
Edit consolidated lodging tax grant. Add and change text, add new objects, move pages, add watermarks and page numbers, and more. Then click Done when you're done editing and go to the Documents tab to merge or split the file. If you want to lock or unlock the file, click the lock or unlock button.
4
Save your file. Choose it from the list of records. Then, shift the pointer to the right toolbar and select one of the several exporting methods: save it in multiple formats, download it as a PDF, email it, or save it to the cloud.
With pdfFiller, it's always easy to deal with documents.
Uncompromising security for your PDF editing and eSignature needs
Your private information is safe with pdfFiller. We employ end-to-end encryption, secure cloud storage, and advanced access control to protect your documents and maintain regulatory compliance.
How to fill out consolidated lodging tax grant
How to fill out consolidated lodging tax grant
01
Gather all necessary documentation such as financial statements, tax forms, and proof of eligibility.
02
Fill out the application form accurately and completely, providing all requested information.
03
Provide any additional documentation that may be required to support your application.
04
Double check your application for errors or missing information before submitting.
05
Submit your completed application by the specified deadline.
Who needs consolidated lodging tax grant?
01
Businesses or organizations in the lodging industry that are eligible for the grant and are seeking financial assistance with lodging tax related expenses.
Fill
form
: Try Risk Free
For pdfFiller’s FAQs
Below is a list of the most common customer questions. If you can’t find an answer to your question, please don’t hesitate to reach out to us.
How do I modify my consolidated lodging tax grant in Gmail?
The pdfFiller Gmail add-on lets you create, modify, fill out, and sign consolidated lodging tax grant and other documents directly in your email. Click here to get pdfFiller for Gmail. Eliminate tedious procedures and handle papers and eSignatures easily.
How do I edit consolidated lodging tax grant online?
With pdfFiller, you may not only alter the content but also rearrange the pages. Upload your consolidated lodging tax grant and modify it with a few clicks. The editor lets you add photos, sticky notes, text boxes, and more to PDFs.
Can I edit consolidated lodging tax grant on an iOS device?
Create, modify, and share consolidated lodging tax grant using the pdfFiller iOS app. Easy to install from the Apple Store. You may sign up for a free trial and then purchase a membership.
What is consolidated lodging tax grant?
The consolidated lodging tax grant is a program that assists in promoting tourism and covers the cost of lodging taxes.
Who is required to file consolidated lodging tax grant?
Businesses in the lodging industry that collect lodging taxes are required to file the consolidated lodging tax grant.
How to fill out consolidated lodging tax grant?
To fill out the consolidated lodging tax grant, businesses must provide detailed information about their lodging taxes collected and other related financial data.
What is the purpose of consolidated lodging tax grant?
The purpose of the consolidated lodging tax grant is to support tourism initiatives and help fund local tourism projects.
What information must be reported on consolidated lodging tax grant?
Businesses must report their lodging taxes collected, expenses related to tourism promotion, and any other relevant financial information on the consolidated lodging tax grant.
Fill out your consolidated lodging tax grant online with pdfFiller!
pdfFiller is an end-to-end solution for managing, creating, and editing documents and forms in the cloud. Save time and hassle by preparing your tax forms online.
Consolidated Lodging Tax Grant is not the form you're looking for?Search for another form here.
Relevant keywords
Related Forms
If you believe that this page should be taken down, please follow our DMCA take down process
here
.
This form may include fields for payment information. Data entered in these fields is not covered by PCI DSS compliance.