Get the free Celebrating the Rise of Hispanic Women Workers - DOL Blog
Show details
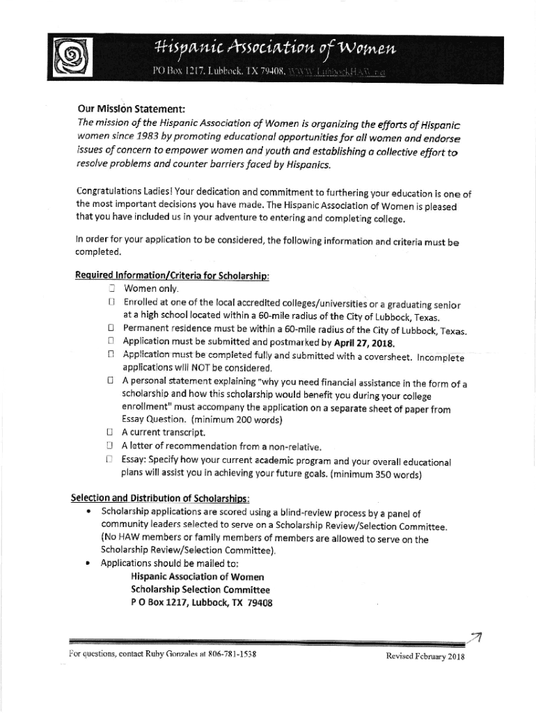
Llisynnic *association]\'OBorlll7. Lubbock.LOF wonvem7910u. Our Mission Statement: The mission of the Hispanic Association of women is organizing the efforts of Hispanic women since 798i by promoting
We are not affiliated with any brand or entity on this form
Get, Create, Make and Sign celebrating form rise of
Edit your celebrating form rise of form online
Type text, complete fillable fields, insert images, highlight or blackout data for discretion, add comments, and more.
Add your legally-binding signature
Draw or type your signature, upload a signature image, or capture it with your digital camera.
Share your form instantly
Email, fax, or share your celebrating form rise of form via URL. You can also download, print, or export forms to your preferred cloud storage service.
Editing celebrating form rise of online
Here are the steps you need to follow to get started with our professional PDF editor:
1
Register the account. Begin by clicking Start Free Trial and create a profile if you are a new user.
2
Upload a file. Select Add New on your Dashboard and upload a file from your device or import it from the cloud, online, or internal mail. Then click Edit.
3
Edit celebrating form rise of. Rearrange and rotate pages, add and edit text, and use additional tools. To save changes and return to your Dashboard, click Done. The Documents tab allows you to merge, divide, lock, or unlock files.
4
Save your file. Select it from your list of records. Then, move your cursor to the right toolbar and choose one of the exporting options. You can save it in multiple formats, download it as a PDF, send it by email, or store it in the cloud, among other things.
pdfFiller makes dealing with documents a breeze. Create an account to find out!
Uncompromising security for your PDF editing and eSignature needs
Your private information is safe with pdfFiller. We employ end-to-end encryption, secure cloud storage, and advanced access control to protect your documents and maintain regulatory compliance.
How to fill out celebrating form rise of
How to fill out celebrating form rise of
01
Begin by visiting the official website of Rise of.
02
Look for the section or link related to the celebrating form.
03
Click on the form to open it.
04
Fill in all the required fields such as name, date of birth, contact information, etc.
05
Review the form to ensure all information is accurate.
06
Submit the form as per the instructions provided.
Who needs celebrating form rise of?
01
Anyone who wants to participate in celebrating events organized by Rise of needs to fill out the celebrating form.
Fill
form
: Try Risk Free
For pdfFiller’s FAQs
Below is a list of the most common customer questions. If you can’t find an answer to your question, please don’t hesitate to reach out to us.
How can I edit celebrating form rise of from Google Drive?
By integrating pdfFiller with Google Docs, you can streamline your document workflows and produce fillable forms that can be stored directly in Google Drive. Using the connection, you will be able to create, change, and eSign documents, including celebrating form rise of, all without having to leave Google Drive. Add pdfFiller's features to Google Drive and you'll be able to handle your documents more effectively from any device with an internet connection.
How do I edit celebrating form rise of on an Android device?
You can make any changes to PDF files, such as celebrating form rise of, with the help of the pdfFiller mobile app for Android. Edit, sign, and send documents right from your mobile device. Install the app and streamline your document management wherever you are.
How do I complete celebrating form rise of on an Android device?
Use the pdfFiller app for Android to finish your celebrating form rise of. The application lets you do all the things you need to do with documents, like add, edit, and remove text, sign, annotate, and more. There is nothing else you need except your smartphone and an internet connection to do this.
What is celebrating form rise of?
Celebrating form rise of is a form used to report the increase in profits or success of an individual or organization.
Who is required to file celebrating form rise of?
Any individual or organization that has experienced a rise in profits or success is required to file celebrating form rise of.
How to fill out celebrating form rise of?
Celebrating form rise of can be filled out by providing information about the increase in profits or success, along with supporting documentation.
What is the purpose of celebrating form rise of?
The purpose of celebrating form rise of is to document and report the positive changes in financial or overall performance.
What information must be reported on celebrating form rise of?
The information that must be reported on celebrating form rise of includes details about the increase in profits or success, as well as any relevant financial data.
Fill out your celebrating form rise of online with pdfFiller!
pdfFiller is an end-to-end solution for managing, creating, and editing documents and forms in the cloud. Save time and hassle by preparing your tax forms online.
Celebrating Form Rise Of is not the form you're looking for?Search for another form here.
Relevant keywords
Related Forms
If you believe that this page should be taken down, please follow our DMCA take down process
here
.
This form may include fields for payment information. Data entered in these fields is not covered by PCI DSS compliance.