Get the free MOCK TEST (GI-7, VI-VDI-SI-3) - Mittal Commerce Classes
Show details
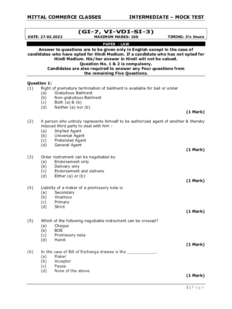
MITRAL COMMERCE CLASSESINTERMEDIATE MOCK TEST(GI7, VIVDISI3) DATE: 27.03.2022MAXIMUM MARKS: 100TIMING: 3 Touchpaper : Answer to questions are to be given only in English except in the case of candidates
We are not affiliated with any brand or entity on this form
Get, Create, Make and Sign mock test gi-7 vi-vdi-si-3
Edit your mock test gi-7 vi-vdi-si-3 form online
Type text, complete fillable fields, insert images, highlight or blackout data for discretion, add comments, and more.
Add your legally-binding signature
Draw or type your signature, upload a signature image, or capture it with your digital camera.
Share your form instantly
Email, fax, or share your mock test gi-7 vi-vdi-si-3 form via URL. You can also download, print, or export forms to your preferred cloud storage service.
Editing mock test gi-7 vi-vdi-si-3 online
Follow the steps below to use a professional PDF editor:
1
Log in to account. Click on Start Free Trial and register a profile if you don't have one.
2
Prepare a file. Use the Add New button. Then upload your file to the system from your device, importing it from internal mail, the cloud, or by adding its URL.
3
Edit mock test gi-7 vi-vdi-si-3. Add and change text, add new objects, move pages, add watermarks and page numbers, and more. Then click Done when you're done editing and go to the Documents tab to merge or split the file. If you want to lock or unlock the file, click the lock or unlock button.
4
Get your file. Select the name of your file in the docs list and choose your preferred exporting method. You can download it as a PDF, save it in another format, send it by email, or transfer it to the cloud.
Dealing with documents is simple using pdfFiller.
Uncompromising security for your PDF editing and eSignature needs
Your private information is safe with pdfFiller. We employ end-to-end encryption, secure cloud storage, and advanced access control to protect your documents and maintain regulatory compliance.
How to fill out mock test gi-7 vi-vdi-si-3
How to fill out mock test gi-7 vi-vdi-si-3
01
Read the instructions carefully before starting the mock test gi-7 vi-vdi-si-3.
02
Understand the format of the test and the types of questions that will be asked.
03
Allocate time wisely for each section of the test.
04
Answer all the questions to the best of your ability.
05
Review and revise your answers before submitting the test.
Who needs mock test gi-7 vi-vdi-si-3?
01
Anyone preparing for the gi-7 vi-vdi-si-3 exam can benefit from taking the mock test to assess their preparation level and identify areas of improvement.
Fill
form
: Try Risk Free
For pdfFiller’s FAQs
Below is a list of the most common customer questions. If you can’t find an answer to your question, please don’t hesitate to reach out to us.
How can I send mock test gi-7 vi-vdi-si-3 for eSignature?
To distribute your mock test gi-7 vi-vdi-si-3, simply send it to others and receive the eSigned document back instantly. Post or email a PDF that you've notarized online. Doing so requires never leaving your account.
Where do I find mock test gi-7 vi-vdi-si-3?
It's simple using pdfFiller, an online document management tool. Use our huge online form collection (over 25M fillable forms) to quickly discover the mock test gi-7 vi-vdi-si-3. Open it immediately and start altering it with sophisticated capabilities.
How do I edit mock test gi-7 vi-vdi-si-3 online?
With pdfFiller, it's easy to make changes. Open your mock test gi-7 vi-vdi-si-3 in the editor, which is very easy to use and understand. When you go there, you'll be able to black out and change text, write and erase, add images, draw lines, arrows, and more. You can also add sticky notes and text boxes.
What is mock test gi-7 vi-vdi-si-3?
It is a simulation test conducted to assess the knowledge and skills of individuals in the specified subject areas.
Who is required to file mock test gi-7 vi-vdi-si-3?
Anyone preparing for the respective exam or individuals looking to evaluate their readiness for the actual test.
How to fill out mock test gi-7 vi-vdi-si-3?
To fill out the mock test, one needs to carefully read and answer the questions based on the study material related to the test topics.
What is the purpose of mock test gi-7 vi-vdi-si-3?
The purpose is to help individuals assess their strengths and weaknesses in the subject matter and prepare better for the actual exam.
What information must be reported on mock test gi-7 vi-vdi-si-3?
The test taker's responses to the questions and the overall score achieved during the test.
Fill out your mock test gi-7 vi-vdi-si-3 online with pdfFiller!
pdfFiller is an end-to-end solution for managing, creating, and editing documents and forms in the cloud. Save time and hassle by preparing your tax forms online.
Mock Test Gi-7 Vi-Vdi-Si-3 is not the form you're looking for?Search for another form here.
Relevant keywords
Related Forms
If you believe that this page should be taken down, please follow our DMCA take down process
here
.
This form may include fields for payment information. Data entered in these fields is not covered by PCI DSS compliance.