Get the free CSA Notice of Amendments to National Instrument 33-109 ...
Show details
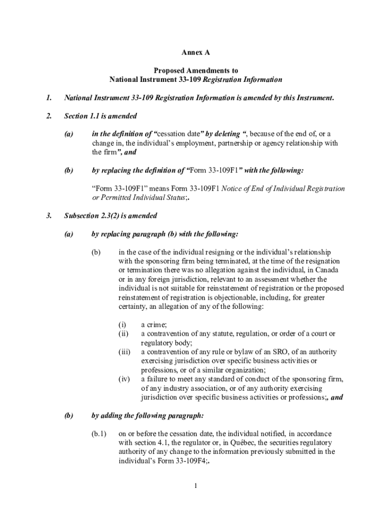
Annex A Proposed Amendments to National Instrument 33109 Registration Information 1. National Instrument 33109 Registration Information is amended by this Instrument.2. Section 1.1 is amended (a)in
We are not affiliated with any brand or entity on this form
Get, Create, Make and Sign csa notice of amendments
Edit your csa notice of amendments form online
Type text, complete fillable fields, insert images, highlight or blackout data for discretion, add comments, and more.
Add your legally-binding signature
Draw or type your signature, upload a signature image, or capture it with your digital camera.
Share your form instantly
Email, fax, or share your csa notice of amendments form via URL. You can also download, print, or export forms to your preferred cloud storage service.
Editing csa notice of amendments online
Here are the steps you need to follow to get started with our professional PDF editor:
1
Register the account. Begin by clicking Start Free Trial and create a profile if you are a new user.
2
Prepare a file. Use the Add New button. Then upload your file to the system from your device, importing it from internal mail, the cloud, or by adding its URL.
3
Edit csa notice of amendments. Replace text, adding objects, rearranging pages, and more. Then select the Documents tab to combine, divide, lock or unlock the file.
4
Save your file. Select it from your list of records. Then, move your cursor to the right toolbar and choose one of the exporting options. You can save it in multiple formats, download it as a PDF, send it by email, or store it in the cloud, among other things.
With pdfFiller, it's always easy to work with documents. Check it out!
Uncompromising security for your PDF editing and eSignature needs
Your private information is safe with pdfFiller. We employ end-to-end encryption, secure cloud storage, and advanced access control to protect your documents and maintain regulatory compliance.
How to fill out csa notice of amendments
How to fill out csa notice of amendments
01
Start by reading the instructions on the CSA Notice of Amendments form.
02
Fill in your personal information such as name, address, and contact details.
03
Indicate the specific changes you are requesting in the appropriate section.
04
Provide any supporting documentation or evidence for the changes you are requesting.
05
Sign and date the form before submitting it to the relevant authority.
Who needs csa notice of amendments?
01
Individuals who have changes to report to the CSA regarding their personal information or circumstances.
02
Entities or organizations that need to update their information with the CSA.
Fill
form
: Try Risk Free
For pdfFiller’s FAQs
Below is a list of the most common customer questions. If you can’t find an answer to your question, please don’t hesitate to reach out to us.
Where do I find csa notice of amendments?
It's simple using pdfFiller, an online document management tool. Use our huge online form collection (over 25M fillable forms) to quickly discover the csa notice of amendments. Open it immediately and start altering it with sophisticated capabilities.
How do I execute csa notice of amendments online?
With pdfFiller, you may easily complete and sign csa notice of amendments online. It lets you modify original PDF material, highlight, blackout, erase, and write text anywhere on a page, legally eSign your document, and do a lot more. Create a free account to handle professional papers online.
Can I sign the csa notice of amendments electronically in Chrome?
As a PDF editor and form builder, pdfFiller has a lot of features. It also has a powerful e-signature tool that you can add to your Chrome browser. With our extension, you can type, draw, or take a picture of your signature with your webcam to make your legally-binding eSignature. Choose how you want to sign your csa notice of amendments and you'll be done in minutes.
What is csa notice of amendments?
CSA notice of amendments is a form used to inform the Canadian Securities Administrators about any changes or updates to previously filed documents or information.
Who is required to file csa notice of amendments?
Any companies or individuals who have previously filed documents or information with the Canadian Securities Administrators and need to make changes or updates are required to file a CSA notice of amendments.
How to fill out csa notice of amendments?
CSA notice of amendments can be filled out electronically through the CSA's online filing system or by submitting a paper form with the necessary information.
What is the purpose of csa notice of amendments?
The purpose of CSA notice of amendments is to ensure that the Canadian Securities Administrators have up-to-date and accurate information about companies and individuals who are subject to their regulations.
What information must be reported on csa notice of amendments?
The information that must be reported on CSA notice of amendments includes details about the changes or updates being made, as well as any supporting documentation or explanations.
Fill out your csa notice of amendments online with pdfFiller!
pdfFiller is an end-to-end solution for managing, creating, and editing documents and forms in the cloud. Save time and hassle by preparing your tax forms online.
Csa Notice Of Amendments is not the form you're looking for?Search for another form here.
Relevant keywords
Related Forms
If you believe that this page should be taken down, please follow our DMCA take down process
here
.
This form may include fields for payment information. Data entered in these fields is not covered by PCI DSS compliance.