
Get the free BEdJunior/Intermediate Program - Faculty of Education
Show details
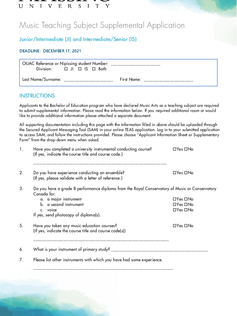
Music Teaching Subject Supplemental Application Junior/Intermediate (I) and Intermediate/Senior (IS) DEADLINE: DECEMBER 17, 2021, OFAC Reference or Ni pissing student Number: ___ Division: I Am Both
We are not affiliated with any brand or entity on this form
Get, Create, Make and Sign bedjuniorintermediate program - faculty

Edit your bedjuniorintermediate program - faculty form online
Type text, complete fillable fields, insert images, highlight or blackout data for discretion, add comments, and more.

Add your legally-binding signature
Draw or type your signature, upload a signature image, or capture it with your digital camera.

Share your form instantly
Email, fax, or share your bedjuniorintermediate program - faculty form via URL. You can also download, print, or export forms to your preferred cloud storage service.
How to edit bedjuniorintermediate program - faculty online
Here are the steps you need to follow to get started with our professional PDF editor:
1
Create an account. Begin by choosing Start Free Trial and, if you are a new user, establish a profile.
2
Prepare a file. Use the Add New button. Then upload your file to the system from your device, importing it from internal mail, the cloud, or by adding its URL.
3
Edit bedjuniorintermediate program - faculty. Rearrange and rotate pages, insert new and alter existing texts, add new objects, and take advantage of other helpful tools. Click Done to apply changes and return to your Dashboard. Go to the Documents tab to access merging, splitting, locking, or unlocking functions.
4
Save your file. Select it from your records list. Then, click the right toolbar and select one of the various exporting options: save in numerous formats, download as PDF, email, or cloud.
It's easier to work with documents with pdfFiller than you could have ever thought. Sign up for a free account to view.
Uncompromising security for your PDF editing and eSignature needs
Your private information is safe with pdfFiller. We employ end-to-end encryption, secure cloud storage, and advanced access control to protect your documents and maintain regulatory compliance.
How to fill out bedjuniorintermediate program - faculty

How to fill out bedjuniorintermediate program - faculty
01
Obtain the necessary forms from the respective department or faculty office.
02
Fill out the forms with accurate and updated information.
03
Provide any required supporting documents along with the forms.
04
Submit the completed forms and documents to the designated personnel or office.
05
Wait for confirmation or further instructions on the approval process.
Who needs bedjuniorintermediate program - faculty?
01
Faculty members who are interested in further professional development or career advancement may benefit from the bedjuniorintermediate program.
02
Faculty members who wish to enhance their teaching skills, gain specialized knowledge, or pursue academic research may find the program useful.
Fill
form
: Try Risk Free
For pdfFiller’s FAQs
Below is a list of the most common customer questions. If you can’t find an answer to your question, please don’t hesitate to reach out to us.
How do I edit bedjuniorintermediate program - faculty online?
pdfFiller allows you to edit not only the content of your files, but also the quantity and sequence of the pages. Upload your bedjuniorintermediate program - faculty to the editor and make adjustments in a matter of seconds. Text in PDFs may be blacked out, typed in, and erased using the editor. You may also include photos, sticky notes, and text boxes, among other things.
How do I fill out the bedjuniorintermediate program - faculty form on my smartphone?
Use the pdfFiller mobile app to fill out and sign bedjuniorintermediate program - faculty. Visit our website (https://edit-pdf-ios-android.pdffiller.com/) to learn more about our mobile applications, their features, and how to get started.
How do I edit bedjuniorintermediate program - faculty on an iOS device?
No, you can't. With the pdfFiller app for iOS, you can edit, share, and sign bedjuniorintermediate program - faculty right away. At the Apple Store, you can buy and install it in a matter of seconds. The app is free, but you will need to set up an account if you want to buy a subscription or start a free trial.
What is bedjuniorintermediate program - faculty?
The bedjuniorintermediate program - faculty is a program offered by a specific faculty for students in their junior and intermediate years of study.
Who is required to file bedjuniorintermediate program - faculty?
Students who are enrolled in the junior and intermediate years of study at the specified faculty are required to file the bedjuniorintermediate program.
How to fill out bedjuniorintermediate program - faculty?
The bedjuniorintermediate program - faculty can be filled out by following the instructions provided by the faculty and submitting the required information.
What is the purpose of bedjuniorintermediate program - faculty?
The purpose of the bedjuniorintermediate program - faculty is to provide students with a structured program of study tailored to their junior and intermediate years.
What information must be reported on bedjuniorintermediate program - faculty?
The bedjuniorintermediate program - faculty usually requires information such as course selections, academic progress, and any additional program requirements.
Fill out your bedjuniorintermediate program - faculty online with pdfFiller!
pdfFiller is an end-to-end solution for managing, creating, and editing documents and forms in the cloud. Save time and hassle by preparing your tax forms online.

Bedjuniorintermediate Program - Faculty is not the form you're looking for?Search for another form here.
Relevant keywords
Related Forms
If you believe that this page should be taken down, please follow our DMCA take down process
here
.
This form may include fields for payment information. Data entered in these fields is not covered by PCI DSS compliance.