Get the free Capitol Technology University Cloud to Computer Science ...
Show details
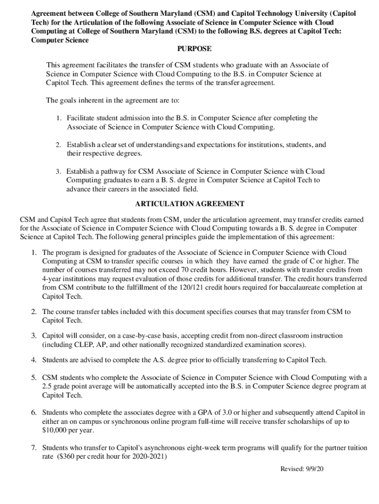
Agreement between College of Southern Maryland (CSM) and Capitol Technology University (Capitol Tech) for the Articulation of the following Associate of Science in Computer Science with Cloud Computing
We are not affiliated with any brand or entity on this form
Get, Create, Make and Sign capitol technology university cloud
Edit your capitol technology university cloud form online
Type text, complete fillable fields, insert images, highlight or blackout data for discretion, add comments, and more.
Add your legally-binding signature
Draw or type your signature, upload a signature image, or capture it with your digital camera.
Share your form instantly
Email, fax, or share your capitol technology university cloud form via URL. You can also download, print, or export forms to your preferred cloud storage service.
Editing capitol technology university cloud online
Follow the steps down below to benefit from a competent PDF editor:
1
Log into your account. In case you're new, it's time to start your free trial.
2
Prepare a file. Use the Add New button to start a new project. Then, using your device, upload your file to the system by importing it from internal mail, the cloud, or adding its URL.
3
Edit capitol technology university cloud. Text may be added and replaced, new objects can be included, pages can be rearranged, watermarks and page numbers can be added, and so on. When you're done editing, click Done and then go to the Documents tab to combine, divide, lock, or unlock the file.
4
Get your file. Select your file from the documents list and pick your export method. You may save it as a PDF, email it, or upload it to the cloud.
pdfFiller makes working with documents easier than you could ever imagine. Try it for yourself by creating an account!
Uncompromising security for your PDF editing and eSignature needs
Your private information is safe with pdfFiller. We employ end-to-end encryption, secure cloud storage, and advanced access control to protect your documents and maintain regulatory compliance.
How to fill out capitol technology university cloud
How to fill out capitol technology university cloud
01
Log in to your Capitol Technology University account.
02
Access the cloud platform using the provided link or application.
03
Locate the option to upload or create new files.
04
Choose the files you want to upload or create new ones directly on the cloud.
05
Follow any prompts or instructions to complete the file uploading or creation process.
06
You can also organize your files into folders or categories for easier access.
Who needs capitol technology university cloud?
01
Students and faculty members of Capitol Technology University who need a secure and accessible platform to store, access, and collaborate on files.
02
Individuals and groups working on projects that require easy sharing and editing of documents and resources.
Fill
form
: Try Risk Free
For pdfFiller’s FAQs
Below is a list of the most common customer questions. If you can’t find an answer to your question, please don’t hesitate to reach out to us.
How can I fill out capitol technology university cloud on an iOS device?
In order to fill out documents on your iOS device, install the pdfFiller app. Create an account or log in to an existing one if you have a subscription to the service. Once the registration process is complete, upload your capitol technology university cloud. You now can take advantage of pdfFiller's advanced functionalities: adding fillable fields and eSigning documents, and accessing them from any device, wherever you are.
How do I edit capitol technology university cloud on an Android device?
With the pdfFiller mobile app for Android, you may make modifications to PDF files such as capitol technology university cloud. Documents may be edited, signed, and sent directly from your mobile device. Install the app and you'll be able to manage your documents from anywhere.
How do I fill out capitol technology university cloud on an Android device?
Use the pdfFiller mobile app and complete your capitol technology university cloud and other documents on your Android device. The app provides you with all essential document management features, such as editing content, eSigning, annotating, sharing files, etc. You will have access to your documents at any time, as long as there is an internet connection.
What is capitol technology university cloud?
Capitol Technology University Cloud is a cloud-based platform used by the university to store and access information.
Who is required to file Capitol Technology University Cloud?
Faculty, staff, and students of Capitol Technology University may be required to file information on the university cloud.
How to fill out Capitol Technology University Cloud?
To fill out Capitol Technology University Cloud, users can log in to the platform and input the necessary information as per the guidelines provided.
What is the purpose of Capitol Technology University Cloud?
The purpose of Capitol Technology University Cloud is to streamline information storage and access for the university community.
What information must be reported on Capitol Technology University Cloud?
Users may be required to report personal and academic information as well as any relevant documents on Capitol Technology University Cloud.
Fill out your capitol technology university cloud online with pdfFiller!
pdfFiller is an end-to-end solution for managing, creating, and editing documents and forms in the cloud. Save time and hassle by preparing your tax forms online.
Capitol Technology University Cloud is not the form you're looking for?Search for another form here.
Relevant keywords
Related Forms
If you believe that this page should be taken down, please follow our DMCA take down process
here
.
This form may include fields for payment information. Data entered in these fields is not covered by PCI DSS compliance.