
Get the free Form T - History of Criminal Incidents Attestation
Show details
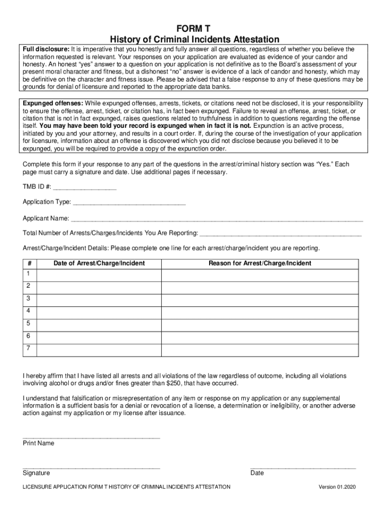
FORM T History of Criminal Incidents Attestation Full disclosure: It is imperative that you honestly and fully answer all questions, regardless of whether you believe the information requested is
We are not affiliated with any brand or entity on this form
Get, Create, Make and Sign form t - history

Edit your form t - history form online
Type text, complete fillable fields, insert images, highlight or blackout data for discretion, add comments, and more.

Add your legally-binding signature
Draw or type your signature, upload a signature image, or capture it with your digital camera.

Share your form instantly
Email, fax, or share your form t - history form via URL. You can also download, print, or export forms to your preferred cloud storage service.
Editing form t - history online
To use the professional PDF editor, follow these steps:
1
Log in to your account. Start Free Trial and sign up a profile if you don't have one yet.
2
Prepare a file. Use the Add New button to start a new project. Then, using your device, upload your file to the system by importing it from internal mail, the cloud, or adding its URL.
3
Edit form t - history. Rearrange and rotate pages, add new and changed texts, add new objects, and use other useful tools. When you're done, click Done. You can use the Documents tab to merge, split, lock, or unlock your files.
4
Get your file. When you find your file in the docs list, click on its name and choose how you want to save it. To get the PDF, you can save it, send an email with it, or move it to the cloud.
With pdfFiller, it's always easy to work with documents. Try it!
Uncompromising security for your PDF editing and eSignature needs
Your private information is safe with pdfFiller. We employ end-to-end encryption, secure cloud storage, and advanced access control to protect your documents and maintain regulatory compliance.
How to fill out form t - history

How to fill out form t - history
01
Start by reading the instructions provided with form t - history to understand the required information.
02
Gather all relevant details and documents related to the person's history that needs to be filled in the form.
03
Begin filling out the form by entering the personal details of the individual, such as name, date of birth, and address.
04
Proceed to fill out the historical information requested in the form, such as past medical conditions, surgeries, or treatments.
05
Double-check the completed form for any errors or missing information before submitting it.
Who needs form t - history?
01
Individuals who are required to provide a comprehensive history of their medical background for various purposes, such as healthcare providers, insurance companies, or government agencies.
Fill
form
: Try Risk Free
For pdfFiller’s FAQs
Below is a list of the most common customer questions. If you can’t find an answer to your question, please don’t hesitate to reach out to us.
Can I create an electronic signature for the form t - history in Chrome?
You certainly can. You get not just a feature-rich PDF editor and fillable form builder with pdfFiller, but also a robust e-signature solution that you can add right to your Chrome browser. You may use our addon to produce a legally enforceable eSignature by typing, sketching, or photographing your signature with your webcam. Choose your preferred method and eSign your form t - history in minutes.
How do I edit form t - history straight from my smartphone?
The best way to make changes to documents on a mobile device is to use pdfFiller's apps for iOS and Android. You may get them from the Apple Store and Google Play. Learn more about the apps here. To start editing form t - history, you need to install and log in to the app.
How do I complete form t - history on an iOS device?
Make sure you get and install the pdfFiller iOS app. Next, open the app and log in or set up an account to use all of the solution's editing tools. If you want to open your form t - history, you can upload it from your device or cloud storage, or you can type the document's URL into the box on the right. After you fill in all of the required fields in the document and eSign it, if that is required, you can save or share it with other people.
What is form t - history?
Form T-History is a form used to report historical transaction information.
Who is required to file form t - history?
Any entity or individual who has historical transaction information that needs to be reported.
How to fill out form t - history?
Form T-History can be filled out online or manually by providing the required transaction details.
What is the purpose of form t - history?
The purpose of Form T-History is to provide transparency and accountability in reporting historical transactions.
What information must be reported on form t - history?
Form T-History requires details such as transaction dates, amounts, parties involved, and descriptions of the transactions.
Fill out your form t - history online with pdfFiller!
pdfFiller is an end-to-end solution for managing, creating, and editing documents and forms in the cloud. Save time and hassle by preparing your tax forms online.

Form T - History is not the form you're looking for?Search for another form here.
Relevant keywords
Related Forms
If you believe that this page should be taken down, please follow our DMCA take down process
here
.
This form may include fields for payment information. Data entered in these fields is not covered by PCI DSS compliance.