Get the free Notification of Change of Ownership of Conditionally Exempted Pressurized Equipment
Show details
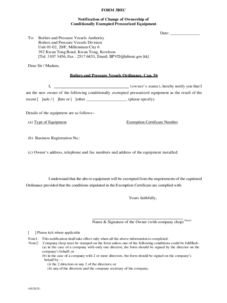
FORM 3BEC Notification of Change of Ownership of Conditionally Exempted Pressurized Equipment Date: To:Boilers and Pressure Vessels Authority Boilers and Pressure Vessels Division Unit 0102, 20/F,
We are not affiliated with any brand or entity on this form
Get, Create, Make and Sign notification of change of
Edit your notification of change of form online
Type text, complete fillable fields, insert images, highlight or blackout data for discretion, add comments, and more.
Add your legally-binding signature
Draw or type your signature, upload a signature image, or capture it with your digital camera.
Share your form instantly
Email, fax, or share your notification of change of form via URL. You can also download, print, or export forms to your preferred cloud storage service.
Editing notification of change of online
Follow the steps down below to benefit from the PDF editor's expertise:
1
Create an account. Begin by choosing Start Free Trial and, if you are a new user, establish a profile.
2
Prepare a file. Use the Add New button to start a new project. Then, using your device, upload your file to the system by importing it from internal mail, the cloud, or adding its URL.
3
Edit notification of change of. Rearrange and rotate pages, add and edit text, and use additional tools. To save changes and return to your Dashboard, click Done. The Documents tab allows you to merge, divide, lock, or unlock files.
4
Get your file. Select your file from the documents list and pick your export method. You may save it as a PDF, email it, or upload it to the cloud.
Dealing with documents is simple using pdfFiller.
Uncompromising security for your PDF editing and eSignature needs
Your private information is safe with pdfFiller. We employ end-to-end encryption, secure cloud storage, and advanced access control to protect your documents and maintain regulatory compliance.
How to fill out notification of change of
How to fill out notification of change of
01
Obtain the necessary form for notification of change of.
02
Fill out the form completely with the required information.
03
Ensure that all information provided is accurate and up-to-date.
04
Sign the form where required.
05
Submit the completed form to the relevant authority or organization.
Who needs notification of change of?
01
Anyone who has undergone a change in their personal information such as name, address, contact details, etc. may need to fill out a notification of change form.
Fill
form
: Try Risk Free
For pdfFiller’s FAQs
Below is a list of the most common customer questions. If you can’t find an answer to your question, please don’t hesitate to reach out to us.
How do I edit notification of change of in Chrome?
Adding the pdfFiller Google Chrome Extension to your web browser will allow you to start editing notification of change of and other documents right away when you search for them on a Google page. People who use Chrome can use the service to make changes to their files while they are on the Chrome browser. pdfFiller lets you make fillable documents and make changes to existing PDFs from any internet-connected device.
Can I create an electronic signature for signing my notification of change of in Gmail?
You may quickly make your eSignature using pdfFiller and then eSign your notification of change of right from your mailbox using pdfFiller's Gmail add-on. Please keep in mind that in order to preserve your signatures and signed papers, you must first create an account.
How do I edit notification of change of straight from my smartphone?
You can do so easily with pdfFiller’s applications for iOS and Android devices, which can be found at the Apple Store and Google Play Store, respectively. Alternatively, you can get the app on our web page: https://edit-pdf-ios-android.pdffiller.com/. Install the application, log in, and start editing notification of change of right away.
What is notification of change of?
The notification of change of is a form used to report any changes in information to a specific entity.
Who is required to file notification of change of?
Any individual or entity that has made changes to their information is required to file a notification of change of.
How to fill out notification of change of?
The notification of change of form can typically be filled out online or submitted by mail with the updated information.
What is the purpose of notification of change of?
The purpose of the notification of change of is to ensure that all relevant parties have up-to-date and accurate information.
What information must be reported on notification of change of?
The information that must be reported on the notification of change of includes the old information, new information, and the reason for the change.
Fill out your notification of change of online with pdfFiller!
pdfFiller is an end-to-end solution for managing, creating, and editing documents and forms in the cloud. Save time and hassle by preparing your tax forms online.
Notification Of Change Of is not the form you're looking for?Search for another form here.
Relevant keywords
Related Forms
If you believe that this page should be taken down, please follow our DMCA take down process
here
.
This form may include fields for payment information. Data entered in these fields is not covered by PCI DSS compliance.