Get the free Township of Chatham, NJ Zoning Regulations - eCode360
Show details
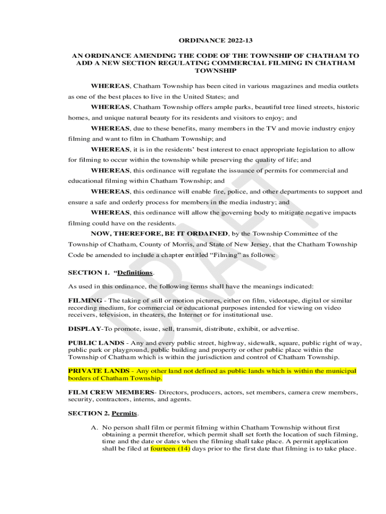
ORDINANCE 202213 AN ORDINANCE AMENDING THE CODE OF THE TOWNSHIP OF CHATHAM TO ADD A NEW SECTION REGULATING COMMERCIAL FILMING IN CHATHAM TOWNSHIP WHEREAS, Chatham Township has been cited in various
We are not affiliated with any brand or entity on this form
Get, Create, Make and Sign township of chatham nj
Edit your township of chatham nj form online
Type text, complete fillable fields, insert images, highlight or blackout data for discretion, add comments, and more.
Add your legally-binding signature
Draw or type your signature, upload a signature image, or capture it with your digital camera.
Share your form instantly
Email, fax, or share your township of chatham nj form via URL. You can also download, print, or export forms to your preferred cloud storage service.
How to edit township of chatham nj online
Follow the steps down below to take advantage of the professional PDF editor:
1
Create an account. Begin by choosing Start Free Trial and, if you are a new user, establish a profile.
2
Upload a file. Select Add New on your Dashboard and upload a file from your device or import it from the cloud, online, or internal mail. Then click Edit.
3
Edit township of chatham nj. Rearrange and rotate pages, add new and changed texts, add new objects, and use other useful tools. When you're done, click Done. You can use the Documents tab to merge, split, lock, or unlock your files.
4
Get your file. Select your file from the documents list and pick your export method. You may save it as a PDF, email it, or upload it to the cloud.
pdfFiller makes dealing with documents a breeze. Create an account to find out!
Uncompromising security for your PDF editing and eSignature needs
Your private information is safe with pdfFiller. We employ end-to-end encryption, secure cloud storage, and advanced access control to protect your documents and maintain regulatory compliance.
How to fill out township of chatham nj
How to fill out township of chatham nj
01
Go to the Township of Chatham website
02
Navigate to the form or application you need to fill out
03
Carefully read the instructions provided on the form
04
Fill out all required fields with accurate information
05
Double check the form for any errors or missing information
06
Submit the completed form through the designated method (online, in person, etc.)
Who needs township of chatham nj?
01
Residents of Township of Chatham, NJ who need to apply for permits, licenses, or other township services
02
Business owners operating in Township of Chatham who need to comply with local regulations
03
Individuals interested in participating in or attending township events and meetings
Fill
form
: Try Risk Free
For pdfFiller’s FAQs
Below is a list of the most common customer questions. If you can’t find an answer to your question, please don’t hesitate to reach out to us.
How can I send township of chatham nj for eSignature?
Once your township of chatham nj is ready, you can securely share it with recipients and collect eSignatures in a few clicks with pdfFiller. You can send a PDF by email, text message, fax, USPS mail, or notarize it online - right from your account. Create an account now and try it yourself.
How do I execute township of chatham nj online?
pdfFiller makes it easy to finish and sign township of chatham nj online. It lets you make changes to original PDF content, highlight, black out, erase, and write text anywhere on a page, legally eSign your form, and more, all from one place. Create a free account and use the web to keep track of professional documents.
Can I edit township of chatham nj on an Android device?
You can edit, sign, and distribute township of chatham nj on your mobile device from anywhere using the pdfFiller mobile app for Android; all you need is an internet connection. Download the app and begin streamlining your document workflow from anywhere.
What is township of chatham nj?
The Township of Chatham, NJ refers to the local government body responsible for governing the Chatham area.
Who is required to file township of chatham nj?
Residents and businesses located within the Township of Chatham are typically required to file relevant paperwork.
How to fill out township of chatham nj?
Individuals or entities can typically fill out the necessary paperwork online or in person at the township offices.
What is the purpose of township of chatham nj?
The purpose of the Township of Chatham, NJ is to provide local governance and services to the residents and businesses within its jurisdiction.
What information must be reported on township of chatham nj?
Information typically required for reporting on the Township of Chatham, NJ may include financial data, property information, and other relevant details.
Fill out your township of chatham nj online with pdfFiller!
pdfFiller is an end-to-end solution for managing, creating, and editing documents and forms in the cloud. Save time and hassle by preparing your tax forms online.
Township Of Chatham Nj is not the form you're looking for?Search for another form here.
Relevant keywords
Related Forms
If you believe that this page should be taken down, please follow our DMCA take down process
here
.
This form may include fields for payment information. Data entered in these fields is not covered by PCI DSS compliance.