Get the free COVID-19 Community Updates - HRA - NYC.gov
Show details
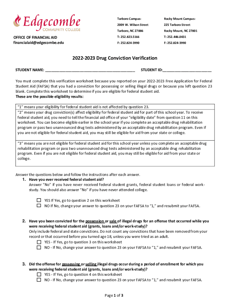
OFFICE OF FINANCIAL AID
financialaid@edgecombe.eduTarboro Campus:Rocky Mount Campus:2009 W. Wilson Street225 Harbor StreetTarboro, NC 27886Rocky Mount, NC 27801T: 252.823.5166T: 252.446.0431F: 252.8243990F:
We are not affiliated with any brand or entity on this form
Get, Create, Make and Sign covid-19 community updates
Edit your covid-19 community updates form online
Type text, complete fillable fields, insert images, highlight or blackout data for discretion, add comments, and more.
Add your legally-binding signature
Draw or type your signature, upload a signature image, or capture it with your digital camera.
Share your form instantly
Email, fax, or share your covid-19 community updates form via URL. You can also download, print, or export forms to your preferred cloud storage service.
Editing covid-19 community updates online
Use the instructions below to start using our professional PDF editor:
1
Log in. Click Start Free Trial and create a profile if necessary.
2
Simply add a document. Select Add New from your Dashboard and import a file into the system by uploading it from your device or importing it via the cloud, online, or internal mail. Then click Begin editing.
3
Edit covid-19 community updates. Add and replace text, insert new objects, rearrange pages, add watermarks and page numbers, and more. Click Done when you are finished editing and go to the Documents tab to merge, split, lock or unlock the file.
4
Get your file. Select the name of your file in the docs list and choose your preferred exporting method. You can download it as a PDF, save it in another format, send it by email, or transfer it to the cloud.
With pdfFiller, dealing with documents is always straightforward.
Uncompromising security for your PDF editing and eSignature needs
Your private information is safe with pdfFiller. We employ end-to-end encryption, secure cloud storage, and advanced access control to protect your documents and maintain regulatory compliance.
How to fill out covid-19 community updates
How to fill out covid-19 community updates
01
Gather information on the current status of covid-19 cases in the community
02
Compile any relevant data and statistics on the spread of the virus
03
Draft a clear and concise message outlining any new guidelines or regulations in place
04
Include information on where community members can get tested or receive vaccines
05
Distribute the updates through multiple channels such as social media, emails, and community bulletin boards
Who needs covid-19 community updates?
01
Residents of the community
02
Local businesses and organizations
03
Government officials and policymakers
Fill
form
: Try Risk Free
For pdfFiller’s FAQs
Below is a list of the most common customer questions. If you can’t find an answer to your question, please don’t hesitate to reach out to us.
Where do I find covid-19 community updates?
The premium subscription for pdfFiller provides you with access to an extensive library of fillable forms (over 25M fillable templates) that you can download, fill out, print, and sign. You won’t have any trouble finding state-specific covid-19 community updates and other forms in the library. Find the template you need and customize it using advanced editing functionalities.
Can I create an electronic signature for the covid-19 community updates in Chrome?
Yes. With pdfFiller for Chrome, you can eSign documents and utilize the PDF editor all in one spot. Create a legally enforceable eSignature by sketching, typing, or uploading a handwritten signature image. You may eSign your covid-19 community updates in seconds.
How do I fill out covid-19 community updates using my mobile device?
On your mobile device, use the pdfFiller mobile app to complete and sign covid-19 community updates. Visit our website (https://edit-pdf-ios-android.pdffiller.com/) to discover more about our mobile applications, the features you'll have access to, and how to get started.
What is covid-19 community updates?
Covid-19 community updates provide information on the current status of Covid-19 within a specific community.
Who is required to file covid-19 community updates?
Health officials, community leaders, and organizations may be required to file covid-19 community updates.
How to fill out covid-19 community updates?
Covid-19 community updates are typically filled out online or through a designated reporting system.
What is the purpose of covid-19 community updates?
The purpose of covid-19 community updates is to keep the community informed about the spread of the virus and important health recommendations.
What information must be reported on covid-19 community updates?
Information such as number of cases, deaths, recoveries, testing data, and public health measures must be reported on covid-19 community updates.
Fill out your covid-19 community updates online with pdfFiller!
pdfFiller is an end-to-end solution for managing, creating, and editing documents and forms in the cloud. Save time and hassle by preparing your tax forms online.
Covid-19 Community Updates is not the form you're looking for?Search for another form here.
Relevant keywords
Related Forms
If you believe that this page should be taken down, please follow our DMCA take down process
here
.
This form may include fields for payment information. Data entered in these fields is not covered by PCI DSS compliance.