Get the free HIPAA Waiver of Authorization Form - SUNY Downstate
Show details
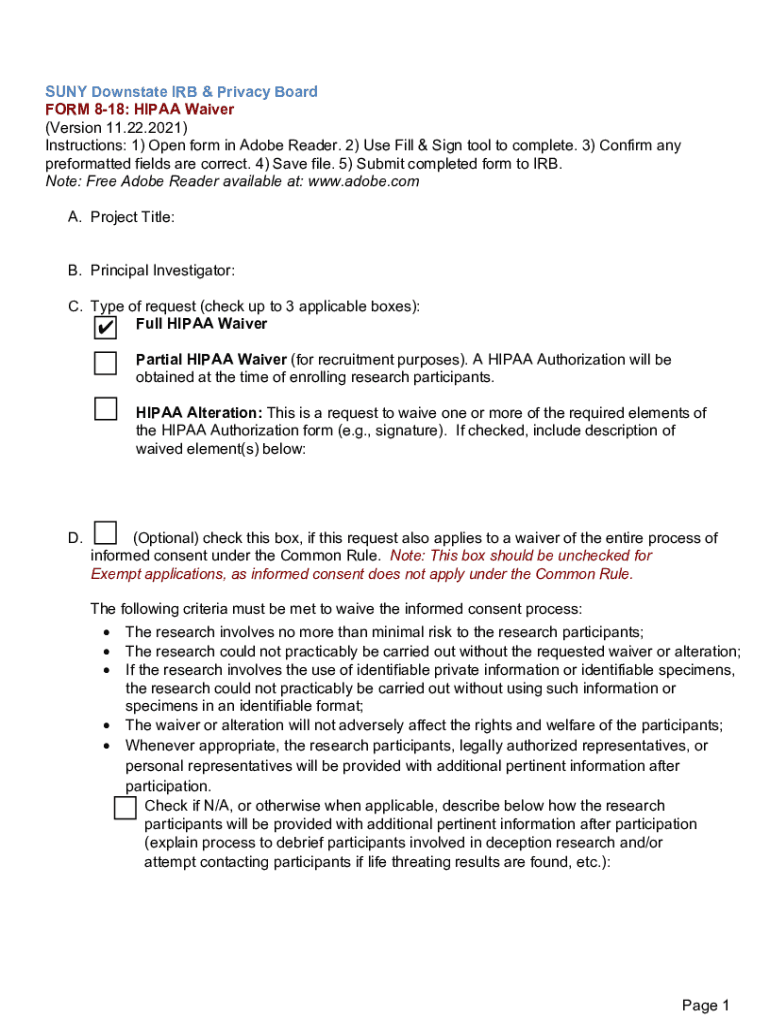
SUN Downstate IRB & Privacy Board FORM 818: HIPAA Waiver (Version 11.22.2021) Instructions: 1) Open form in Adobe Reader. 2) Use Fill & Sign tool to complete. 3) Confirm any preformatted fields are
We are not affiliated with any brand or entity on this form
Get, Create, Make and Sign hipaa waiver of authorization
Edit your hipaa waiver of authorization form online
Type text, complete fillable fields, insert images, highlight or blackout data for discretion, add comments, and more.
Add your legally-binding signature
Draw or type your signature, upload a signature image, or capture it with your digital camera.
Share your form instantly
Email, fax, or share your hipaa waiver of authorization form via URL. You can also download, print, or export forms to your preferred cloud storage service.
How to edit hipaa waiver of authorization online
To use the services of a skilled PDF editor, follow these steps below:
1
Create an account. Begin by choosing Start Free Trial and, if you are a new user, establish a profile.
2
Prepare a file. Use the Add New button to start a new project. Then, using your device, upload your file to the system by importing it from internal mail, the cloud, or adding its URL.
3
Edit hipaa waiver of authorization. Rearrange and rotate pages, add and edit text, and use additional tools. To save changes and return to your Dashboard, click Done. The Documents tab allows you to merge, divide, lock, or unlock files.
4
Get your file. When you find your file in the docs list, click on its name and choose how you want to save it. To get the PDF, you can save it, send an email with it, or move it to the cloud.
The use of pdfFiller makes dealing with documents straightforward.
Uncompromising security for your PDF editing and eSignature needs
Your private information is safe with pdfFiller. We employ end-to-end encryption, secure cloud storage, and advanced access control to protect your documents and maintain regulatory compliance.
How to fill out hipaa waiver of authorization
How to fill out hipaa waiver of authorization
01
Obtain a copy of the HIPAA waiver of authorization form from a healthcare provider or online.
02
Read the instructions and information on the form carefully.
03
Fill out your personal information including name, date of birth, and contact information.
04
Specify the individual or organization that is authorized to access your protected health information.
05
Sign and date the form to indicate your consent and understanding of the authorization.
06
Return the completed form to the appropriate healthcare provider or organization.
Who needs hipaa waiver of authorization?
01
Individuals who wish to grant permission for healthcare providers or other individuals to access their protected health information.
02
Patients who want to authorize family members or caregivers to make medical decisions on their behalf.
Fill
form
: Try Risk Free
For pdfFiller’s FAQs
Below is a list of the most common customer questions. If you can’t find an answer to your question, please don’t hesitate to reach out to us.
How do I make changes in hipaa waiver of authorization?
pdfFiller not only allows you to edit the content of your files but fully rearrange them by changing the number and sequence of pages. Upload your hipaa waiver of authorization to the editor and make any required adjustments in a couple of clicks. The editor enables you to blackout, type, and erase text in PDFs, add images, sticky notes and text boxes, and much more.
Can I create an electronic signature for the hipaa waiver of authorization in Chrome?
Yes. You can use pdfFiller to sign documents and use all of the features of the PDF editor in one place if you add this solution to Chrome. In order to use the extension, you can draw or write an electronic signature. You can also upload a picture of your handwritten signature. There is no need to worry about how long it takes to sign your hipaa waiver of authorization.
How do I edit hipaa waiver of authorization on an Android device?
With the pdfFiller Android app, you can edit, sign, and share hipaa waiver of authorization on your mobile device from any place. All you need is an internet connection to do this. Keep your documents in order from anywhere with the help of the app!
What is hipaa waiver of authorization?
HIPAA waiver of authorization is a legal document that allows healthcare providers to release a patient's protected health information without the patient's consent under certain circumstances.
Who is required to file hipaa waiver of authorization?
HIPAA waiver of authorization is typically filed by healthcare providers or other entities that need to disclose a patient's protected health information without their consent.
How to fill out hipaa waiver of authorization?
To fill out a HIPAA waiver of authorization, one must provide specific information about the patient, the purpose of the disclosure, and the information to be disclosed.
What is the purpose of hipaa waiver of authorization?
The purpose of HIPAA waiver of authorization is to ensure that patients' protected health information can be shared when necessary for treatment, payment, or healthcare operations.
What information must be reported on hipaa waiver of authorization?
HIPAA waiver of authorization typically requires information about the patient's name, the information to be disclosed, the purpose of the disclosure, and the entities involved.
Fill out your hipaa waiver of authorization online with pdfFiller!
pdfFiller is an end-to-end solution for managing, creating, and editing documents and forms in the cloud. Save time and hassle by preparing your tax forms online.
Hipaa Waiver Of Authorization is not the form you're looking for?Search for another form here.
Relevant keywords
Related Forms
If you believe that this page should be taken down, please follow our DMCA take down process
here
.
This form may include fields for payment information. Data entered in these fields is not covered by PCI DSS compliance.