Get the free CH 16.22.E.2 Attached Casita Ordinance (3)
Show details
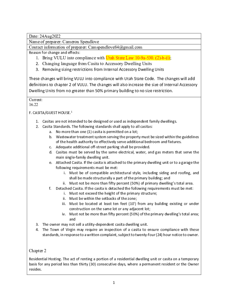
Date: 24Aug2022 Name of preparer: Cameron Spend love Contact information of preparer: Camspendlove84@gmail.com Reason for change and effects:1. Bring LULU into compliance with Utah State Law 109a530.
We are not affiliated with any brand or entity on this form
Get, Create, Make and Sign ch 1622e2 attached casita
Edit your ch 1622e2 attached casita form online
Type text, complete fillable fields, insert images, highlight or blackout data for discretion, add comments, and more.
Add your legally-binding signature
Draw or type your signature, upload a signature image, or capture it with your digital camera.
Share your form instantly
Email, fax, or share your ch 1622e2 attached casita form via URL. You can also download, print, or export forms to your preferred cloud storage service.
Editing ch 1622e2 attached casita online
To use our professional PDF editor, follow these steps:
1
Set up an account. If you are a new user, click Start Free Trial and establish a profile.
2
Prepare a file. Use the Add New button. Then upload your file to the system from your device, importing it from internal mail, the cloud, or by adding its URL.
3
Edit ch 1622e2 attached casita. Rearrange and rotate pages, insert new and alter existing texts, add new objects, and take advantage of other helpful tools. Click Done to apply changes and return to your Dashboard. Go to the Documents tab to access merging, splitting, locking, or unlocking functions.
4
Get your file. Select your file from the documents list and pick your export method. You may save it as a PDF, email it, or upload it to the cloud.
Dealing with documents is simple using pdfFiller.
Uncompromising security for your PDF editing and eSignature needs
Your private information is safe with pdfFiller. We employ end-to-end encryption, secure cloud storage, and advanced access control to protect your documents and maintain regulatory compliance.
How to fill out ch 1622e2 attached casita
How to fill out ch 1622e2 attached casita
01
Obtain the ch 1622e2 form (attached casita) from the relevant authority or website.
02
Fill out the personal information section including your name, address, and contact details.
03
Specify the details of the attached casita including the dimensions, materials used, and any other relevant information.
04
Sign and date the form to certify the accuracy of the information provided.
05
Submit the completed form as per the instructions provided by the authority.
Who needs ch 1622e2 attached casita?
01
Individuals who are planning to build an attached casita and need to obtain the necessary approvals from the relevant authority.
02
Property owners who have already built an attached casita and are required to submit the ch 1622e2 form for compliance purposes.
Fill
form
: Try Risk Free
For pdfFiller’s FAQs
Below is a list of the most common customer questions. If you can’t find an answer to your question, please don’t hesitate to reach out to us.
How do I edit ch 1622e2 attached casita online?
pdfFiller allows you to edit not only the content of your files, but also the quantity and sequence of the pages. Upload your ch 1622e2 attached casita to the editor and make adjustments in a matter of seconds. Text in PDFs may be blacked out, typed in, and erased using the editor. You may also include photos, sticky notes, and text boxes, among other things.
Can I edit ch 1622e2 attached casita on an iOS device?
Create, modify, and share ch 1622e2 attached casita using the pdfFiller iOS app. Easy to install from the Apple Store. You may sign up for a free trial and then purchase a membership.
How do I complete ch 1622e2 attached casita on an Android device?
Complete ch 1622e2 attached casita and other documents on your Android device with the pdfFiller app. The software allows you to modify information, eSign, annotate, and share files. You may view your papers from anywhere with an internet connection.
What is ch 1622e2 attached casita?
ch 1622e2 attached casita is a form used to report the existence of an attached casita on a property.
Who is required to file ch 1622e2 attached casita?
Property owners who have an attached casita on their property are required to file ch 1622e2 attached casita.
How to fill out ch 1622e2 attached casita?
To fill out ch 1622e2 attached casita, property owners must provide detailed information about the attached casita, including its dimensions, purpose, and any relevant permits.
What is the purpose of ch 1622e2 attached casita?
The purpose of ch 1622e2 attached casita is to document the presence of an attached casita on a property for tax and regulatory purposes.
What information must be reported on ch 1622e2 attached casita?
Property owners must report detailed information about the attached casita, including its square footage, purpose of use, and any electrical or plumbing connections.
Fill out your ch 1622e2 attached casita online with pdfFiller!
pdfFiller is an end-to-end solution for managing, creating, and editing documents and forms in the cloud. Save time and hassle by preparing your tax forms online.
Ch 1622E2 Attached Casita is not the form you're looking for?Search for another form here.
Relevant keywords
Related Forms
If you believe that this page should be taken down, please follow our DMCA take down process
here
.
This form may include fields for payment information. Data entered in these fields is not covered by PCI DSS compliance.