
Get the free Construction Contract Invitation for Bids - City Record - NYC.gov
Show details
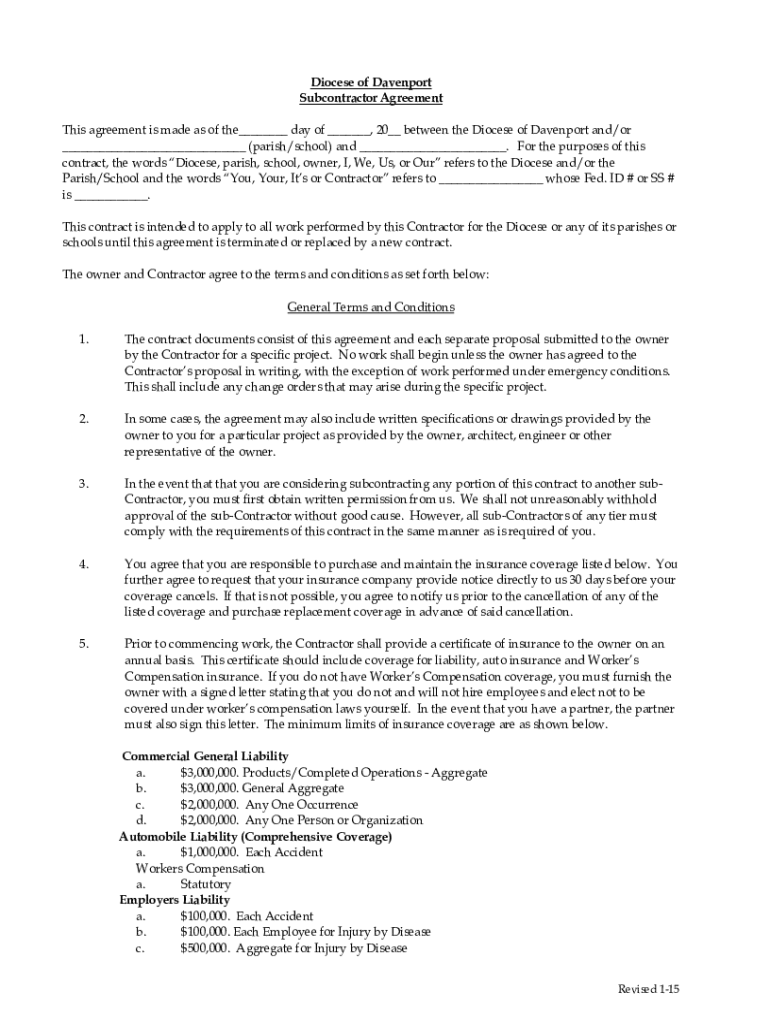
Diocese of Davenport Subcontractor Agreement This agreement is made as of the___ day of ___, 20__ between the Diocese of Davenport and/or ___ (parish/school) and ___. For the purposes of this contract,
We are not affiliated with any brand or entity on this form
Get, Create, Make and Sign construction contract invitation for

Edit your construction contract invitation for form online
Type text, complete fillable fields, insert images, highlight or blackout data for discretion, add comments, and more.

Add your legally-binding signature
Draw or type your signature, upload a signature image, or capture it with your digital camera.

Share your form instantly
Email, fax, or share your construction contract invitation for form via URL. You can also download, print, or export forms to your preferred cloud storage service.
Editing construction contract invitation for online
Follow the steps down below to benefit from a competent PDF editor:
1
Log in. Click Start Free Trial and create a profile if necessary.
2
Prepare a file. Use the Add New button. Then upload your file to the system from your device, importing it from internal mail, the cloud, or by adding its URL.
3
Edit construction contract invitation for. Rearrange and rotate pages, add and edit text, and use additional tools. To save changes and return to your Dashboard, click Done. The Documents tab allows you to merge, divide, lock, or unlock files.
4
Get your file. When you find your file in the docs list, click on its name and choose how you want to save it. To get the PDF, you can save it, send an email with it, or move it to the cloud.
With pdfFiller, it's always easy to work with documents.
Uncompromising security for your PDF editing and eSignature needs
Your private information is safe with pdfFiller. We employ end-to-end encryption, secure cloud storage, and advanced access control to protect your documents and maintain regulatory compliance.
How to fill out construction contract invitation for

How to fill out construction contract invitation for
01
Review the construction contract invitation form to understand all the required information.
02
Fill in the contact details of the inviting party including name, address, phone number, and email.
03
Provide details of the project including location, scope of work, budget, and timeline.
04
Include any specific requirements or qualifications that potential contractors must meet.
05
Clearly outline the submission deadline and any mandatory documents or information that must be included in the proposal.
06
Review the completed form to ensure all the necessary information is included and accurate before submitting.
Who needs construction contract invitation for?
01
Construction companies looking to invite bids from potential contractors.
02
Property owners or developers seeking to formalize agreements with construction firms for a project.
03
Government agencies or organizations overseeing public works projects requiring competitive bidding.
Fill
form
: Try Risk Free
For pdfFiller’s FAQs
Below is a list of the most common customer questions. If you can’t find an answer to your question, please don’t hesitate to reach out to us.
Can I sign the construction contract invitation for electronically in Chrome?
Yes. You can use pdfFiller to sign documents and use all of the features of the PDF editor in one place if you add this solution to Chrome. In order to use the extension, you can draw or write an electronic signature. You can also upload a picture of your handwritten signature. There is no need to worry about how long it takes to sign your construction contract invitation for.
Can I create an eSignature for the construction contract invitation for in Gmail?
Upload, type, or draw a signature in Gmail with the help of pdfFiller’s add-on. pdfFiller enables you to eSign your construction contract invitation for and other documents right in your inbox. Register your account in order to save signed documents and your personal signatures.
How can I edit construction contract invitation for on a smartphone?
The best way to make changes to documents on a mobile device is to use pdfFiller's apps for iOS and Android. You may get them from the Apple Store and Google Play. Learn more about the apps here. To start editing construction contract invitation for, you need to install and log in to the app.
What is construction contract invitation for?
Construction contract invitation is used to invite bids from contractors for a construction project.
Who is required to file construction contract invitation for?
The owner or project manager is required to file the construction contract invitation.
How to fill out construction contract invitation for?
The construction contract invitation should include details about the project, timeline, budget, and bid submission requirements.
What is the purpose of construction contract invitation for?
The purpose of construction contract invitation is to solicit competitive bids from contractors and select the best one for the project.
What information must be reported on construction contract invitation for?
The construction contract invitation must include project details, bid submission requirements, timeline, budget, and contact information.
Fill out your construction contract invitation for online with pdfFiller!
pdfFiller is an end-to-end solution for managing, creating, and editing documents and forms in the cloud. Save time and hassle by preparing your tax forms online.

Construction Contract Invitation For is not the form you're looking for?Search for another form here.
Relevant keywords
Related Forms
If you believe that this page should be taken down, please follow our DMCA take down process
here
.
This form may include fields for payment information. Data entered in these fields is not covered by PCI DSS compliance.