Get the free Michigan State Laws and Published Ordinances
Show details
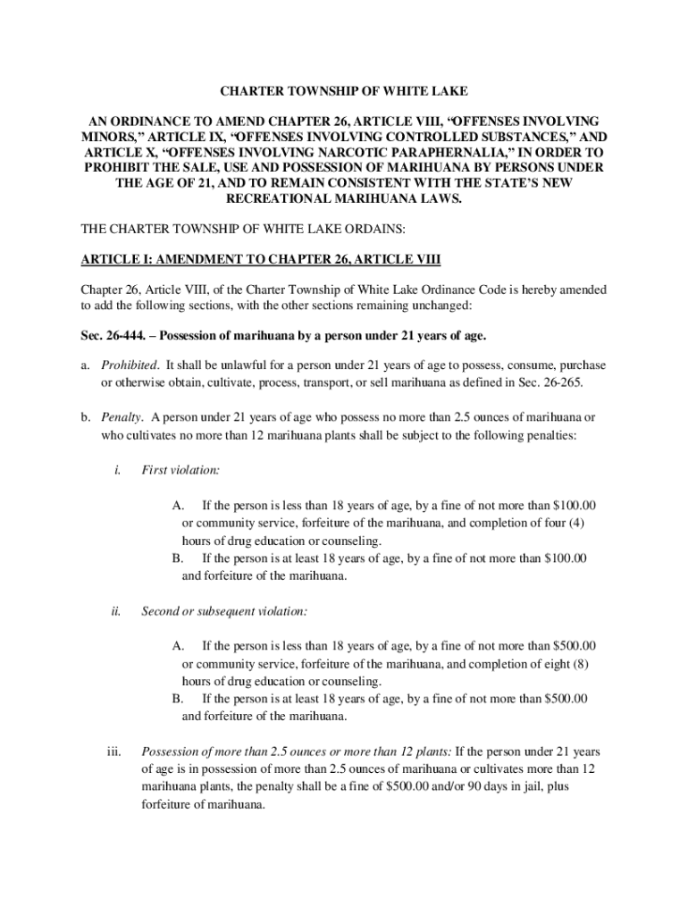
CHARTER TOWNSHIP OF WHITE LAKE AN ORDINANCE TO AMEND CHAPTER 26, ARTICLE VIII, OFFENSES INVOLVING MINORS, ARTICLE IX, OFFENSES INVOLVING CONTROLLED SUBSTANCES, AND ARTICLE X, OFFENSES INVOLVING NARCOTIC
We are not affiliated with any brand or entity on this form
Get, Create, Make and Sign michigan state laws and
Edit your michigan state laws and form online
Type text, complete fillable fields, insert images, highlight or blackout data for discretion, add comments, and more.
Add your legally-binding signature
Draw or type your signature, upload a signature image, or capture it with your digital camera.
Share your form instantly
Email, fax, or share your michigan state laws and form via URL. You can also download, print, or export forms to your preferred cloud storage service.
How to edit michigan state laws and online
To use the professional PDF editor, follow these steps:
1
Log in to account. Start Free Trial and sign up a profile if you don't have one yet.
2
Prepare a file. Use the Add New button to start a new project. Then, using your device, upload your file to the system by importing it from internal mail, the cloud, or adding its URL.
3
Edit michigan state laws and. Add and change text, add new objects, move pages, add watermarks and page numbers, and more. Then click Done when you're done editing and go to the Documents tab to merge or split the file. If you want to lock or unlock the file, click the lock or unlock button.
4
Get your file. When you find your file in the docs list, click on its name and choose how you want to save it. To get the PDF, you can save it, send an email with it, or move it to the cloud.
With pdfFiller, it's always easy to deal with documents.
Uncompromising security for your PDF editing and eSignature needs
Your private information is safe with pdfFiller. We employ end-to-end encryption, secure cloud storage, and advanced access control to protect your documents and maintain regulatory compliance.
How to fill out michigan state laws and
How to fill out michigan state laws and
01
Research the specific Michigan state law that applies to your situation.
02
Understand the requirements and regulations outlined in the law.
03
Gather all necessary information and documentation needed to fill out the forms or comply with the law.
04
Complete the necessary forms or take the required actions as outlined by the Michigan state law.
05
Double-check all information and ensure accuracy before submitting the forms or following through with the requirements.
Who needs michigan state laws and?
01
Individuals residing in Michigan who need to understand their rights and responsibilities under state laws.
02
Businesses operating in Michigan that need to comply with state regulations.
03
Legal professionals and government officials who enforce and interpret Michigan state laws.
04
Anyone involved in legal matters or disputes that fall under Michigan jurisdiction.
Fill
form
: Try Risk Free
For pdfFiller’s FAQs
Below is a list of the most common customer questions. If you can’t find an answer to your question, please don’t hesitate to reach out to us.
How can I send michigan state laws and for eSignature?
When your michigan state laws and is finished, send it to recipients securely and gather eSignatures with pdfFiller. You may email, text, fax, mail, or notarize a PDF straight from your account. Create an account today to test it.
How can I get michigan state laws and?
The pdfFiller premium subscription gives you access to a large library of fillable forms (over 25 million fillable templates) that you can download, fill out, print, and sign. In the library, you'll have no problem discovering state-specific michigan state laws and and other forms. Find the template you want and tweak it with powerful editing tools.
How do I fill out michigan state laws and using my mobile device?
You can easily create and fill out legal forms with the help of the pdfFiller mobile app. Complete and sign michigan state laws and and other documents on your mobile device using the application. Visit pdfFiller’s webpage to learn more about the functionalities of the PDF editor.
What is michigan state laws and?
Michigan state laws include regulations and statutes that govern various aspects of life within the state.
Who is required to file michigan state laws and?
Certain individuals, businesses, and organizations may be required to file michigan state laws and depending on the specific law or regulation.
How to fill out michigan state laws and?
Filling out michigan state laws and typically involves providing relevant information and documentation as required by the specific law or regulation.
What is the purpose of michigan state laws and?
The purpose of michigan state laws and is to regulate behavior, protect individuals and businesses, and maintain order within the state.
What information must be reported on michigan state laws and?
The information that must be reported on michigan state laws and can vary depending on the specific law or regulation, but typically includes relevant data, documentation, and compliance measures.
Fill out your michigan state laws and online with pdfFiller!
pdfFiller is an end-to-end solution for managing, creating, and editing documents and forms in the cloud. Save time and hassle by preparing your tax forms online.
Michigan State Laws And is not the form you're looking for?Search for another form here.
Relevant keywords
Related Forms
If you believe that this page should be taken down, please follow our DMCA take down process
here
.
This form may include fields for payment information. Data entered in these fields is not covered by PCI DSS compliance.