Get the free Frank Schumacher;
Show details
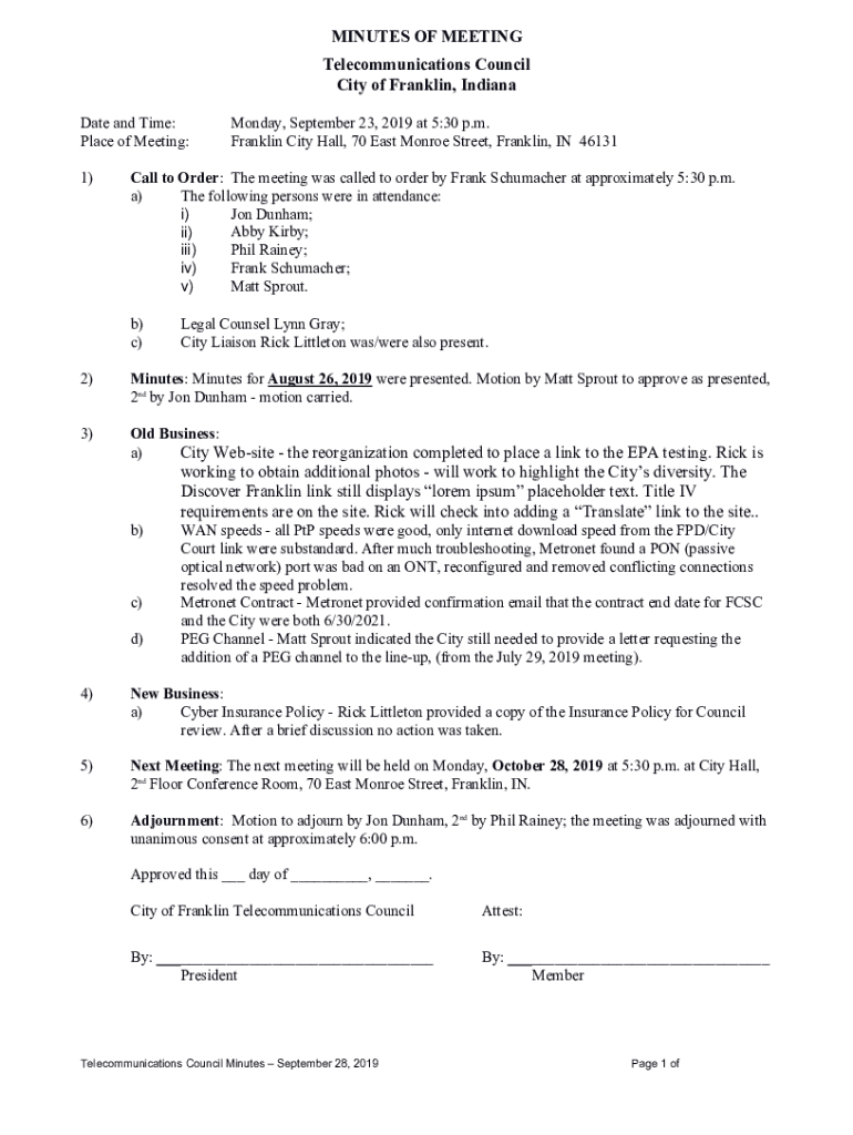
MINUTES OF MEETING Telecommunications Council City of Franklin, Indiana Date and Time: Place of Meeting: 1)Monday, September 23, 2019, at 5:30 p.m. Franklin City Hall, 70 East Monroe Street, Franklin,
We are not affiliated with any brand or entity on this form
Get, Create, Make and Sign frank schumacher
Edit your frank schumacher form online
Type text, complete fillable fields, insert images, highlight or blackout data for discretion, add comments, and more.
Add your legally-binding signature
Draw or type your signature, upload a signature image, or capture it with your digital camera.
Share your form instantly
Email, fax, or share your frank schumacher form via URL. You can also download, print, or export forms to your preferred cloud storage service.
Editing frank schumacher online
In order to make advantage of the professional PDF editor, follow these steps below:
1
Set up an account. If you are a new user, click Start Free Trial and establish a profile.
2
Upload a document. Select Add New on your Dashboard and transfer a file into the system in one of the following ways: by uploading it from your device or importing from the cloud, web, or internal mail. Then, click Start editing.
3
Edit frank schumacher. Rearrange and rotate pages, add and edit text, and use additional tools. To save changes and return to your Dashboard, click Done. The Documents tab allows you to merge, divide, lock, or unlock files.
4
Save your file. Select it from your list of records. Then, move your cursor to the right toolbar and choose one of the exporting options. You can save it in multiple formats, download it as a PDF, send it by email, or store it in the cloud, among other things.
With pdfFiller, it's always easy to work with documents. Check it out!
Uncompromising security for your PDF editing and eSignature needs
Your private information is safe with pdfFiller. We employ end-to-end encryption, secure cloud storage, and advanced access control to protect your documents and maintain regulatory compliance.
How to fill out frank schumacher
How to fill out frank schumacher
01
Start by gathering all the required information such as personal details, employment history, educational background, and references.
02
Carefully read through the form to ensure you understand each section and what information is being requested.
03
Fill out each section accurately and completely, making sure to double check for any errors before submitting.
04
If you are unsure about any questions or sections, seek assistance from a supervisor or HR representative.
05
Once you have completed the form, review it one final time to ensure all information is accurate and up to date.
Who needs frank schumacher?
01
Anyone applying for a job or seeking employment may need to fill out a frank schumacher form as part of the application process.
Fill
form
: Try Risk Free
For pdfFiller’s FAQs
Below is a list of the most common customer questions. If you can’t find an answer to your question, please don’t hesitate to reach out to us.
Can I create an electronic signature for the frank schumacher in Chrome?
As a PDF editor and form builder, pdfFiller has a lot of features. It also has a powerful e-signature tool that you can add to your Chrome browser. With our extension, you can type, draw, or take a picture of your signature with your webcam to make your legally-binding eSignature. Choose how you want to sign your frank schumacher and you'll be done in minutes.
Can I edit frank schumacher on an iOS device?
Use the pdfFiller mobile app to create, edit, and share frank schumacher from your iOS device. Install it from the Apple Store in seconds. You can benefit from a free trial and choose a subscription that suits your needs.
Can I edit frank schumacher on an Android device?
You can edit, sign, and distribute frank schumacher on your mobile device from anywhere using the pdfFiller mobile app for Android; all you need is an internet connection. Download the app and begin streamlining your document workflow from anywhere.
What is frank schumacher?
Frank Schumacher is a fictional character.
Who is required to file frank schumacher?
Anyone who wants to participate in the fictional event involving Frank Schumacher.
How to fill out frank schumacher?
Simply follow the instructions provided in the documentation related to Frank Schumacher.
What is the purpose of frank schumacher?
The purpose of Frank Schumacher is to provide entertainment in a simulated setting.
What information must be reported on frank schumacher?
Information related to the actions and decisions of the participants in the fictional event.
Fill out your frank schumacher online with pdfFiller!
pdfFiller is an end-to-end solution for managing, creating, and editing documents and forms in the cloud. Save time and hassle by preparing your tax forms online.
Frank Schumacher is not the form you're looking for?Search for another form here.
Relevant keywords
Related Forms
If you believe that this page should be taken down, please follow our DMCA take down process
here
.
This form may include fields for payment information. Data entered in these fields is not covered by PCI DSS compliance.