Get the free North Central Michigan College Introduces New ...
Show details
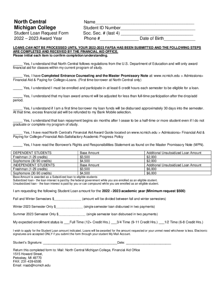
North Central Michigan College Student Loan Request Form 2022 2023 Award Rename___ Student ID Number___ Soc. Sec. # (last 4) ___ Phone #___ Date of Birth___LOANS CAN NOT BE PROCESSED UNTIL YOUR 20222023
We are not affiliated with any brand or entity on this form
Get, Create, Make and Sign north central michigan college
Edit your north central michigan college form online
Type text, complete fillable fields, insert images, highlight or blackout data for discretion, add comments, and more.
Add your legally-binding signature
Draw or type your signature, upload a signature image, or capture it with your digital camera.
Share your form instantly
Email, fax, or share your north central michigan college form via URL. You can also download, print, or export forms to your preferred cloud storage service.
How to edit north central michigan college online
Use the instructions below to start using our professional PDF editor:
1
Check your account. It's time to start your free trial.
2
Upload a document. Select Add New on your Dashboard and transfer a file into the system in one of the following ways: by uploading it from your device or importing from the cloud, web, or internal mail. Then, click Start editing.
3
Edit north central michigan college. Rearrange and rotate pages, add new and changed texts, add new objects, and use other useful tools. When you're done, click Done. You can use the Documents tab to merge, split, lock, or unlock your files.
4
Save your file. Select it in the list of your records. Then, move the cursor to the right toolbar and choose one of the available exporting methods: save it in multiple formats, download it as a PDF, send it by email, or store it in the cloud.
pdfFiller makes working with documents easier than you could ever imagine. Register for an account and see for yourself!
Uncompromising security for your PDF editing and eSignature needs
Your private information is safe with pdfFiller. We employ end-to-end encryption, secure cloud storage, and advanced access control to protect your documents and maintain regulatory compliance.
How to fill out north central michigan college
How to fill out north central michigan college
01
Visit the North Central Michigan College website
02
Click on the 'Admissions' tab
03
Choose the type of student you are (e.g. new student, transfer student)
04
Follow the instructions to create an account and complete the online application
05
Submit any required documents (transcripts, test scores, etc.)
06
Pay the application fee, if applicable
07
Wait for a response from the admissions office
Who needs north central michigan college?
01
Individuals who are looking to further their education
02
Students who want to earn a degree or certificate
03
People who are interested in taking specific courses for personal or professional development
04
Anyone who wants to be part of a community college in Michigan
Fill
form
: Try Risk Free
For pdfFiller’s FAQs
Below is a list of the most common customer questions. If you can’t find an answer to your question, please don’t hesitate to reach out to us.
How can I modify north central michigan college without leaving Google Drive?
Simplify your document workflows and create fillable forms right in Google Drive by integrating pdfFiller with Google Docs. The integration will allow you to create, modify, and eSign documents, including north central michigan college, without leaving Google Drive. Add pdfFiller’s functionalities to Google Drive and manage your paperwork more efficiently on any internet-connected device.
Can I create an eSignature for the north central michigan college in Gmail?
It's easy to make your eSignature with pdfFiller, and then you can sign your north central michigan college right from your Gmail inbox with the help of pdfFiller's add-on for Gmail. This is a very important point: You must sign up for an account so that you can save your signatures and signed documents.
How do I fill out north central michigan college on an Android device?
On an Android device, use the pdfFiller mobile app to finish your north central michigan college. The program allows you to execute all necessary document management operations, such as adding, editing, and removing text, signing, annotating, and more. You only need a smartphone and an internet connection.
What is north central michigan college?
North Central Michigan College is a community college located in Petoskey, Michigan, offering a variety of academic programs and vocational training.
Who is required to file north central michigan college?
Students who wish to apply for financial aid, scholarships, or enrollment in certain programs may be required to file documentation related to North Central Michigan College.
How to fill out north central michigan college?
To fill out documents for North Central Michigan College, students should follow the online application process or complete paper forms available from the admissions office, providing the necessary personal and academic information.
What is the purpose of north central michigan college?
The purpose of North Central Michigan College is to provide accessible and affordable education, enable personal and professional growth, and support the community's workforce needs.
What information must be reported on north central michigan college?
Students are typically required to report personal information, academic history, program of interest, and financial information when filing with North Central Michigan College.
Fill out your north central michigan college online with pdfFiller!
pdfFiller is an end-to-end solution for managing, creating, and editing documents and forms in the cloud. Save time and hassle by preparing your tax forms online.
North Central Michigan College is not the form you're looking for?Search for another form here.
Relevant keywords
Related Forms
If you believe that this page should be taken down, please follow our DMCA take down process
here
.
This form may include fields for payment information. Data entered in these fields is not covered by PCI DSS compliance.