Get the free CHAPTER WS WESTERN DIVISION ...
Show details
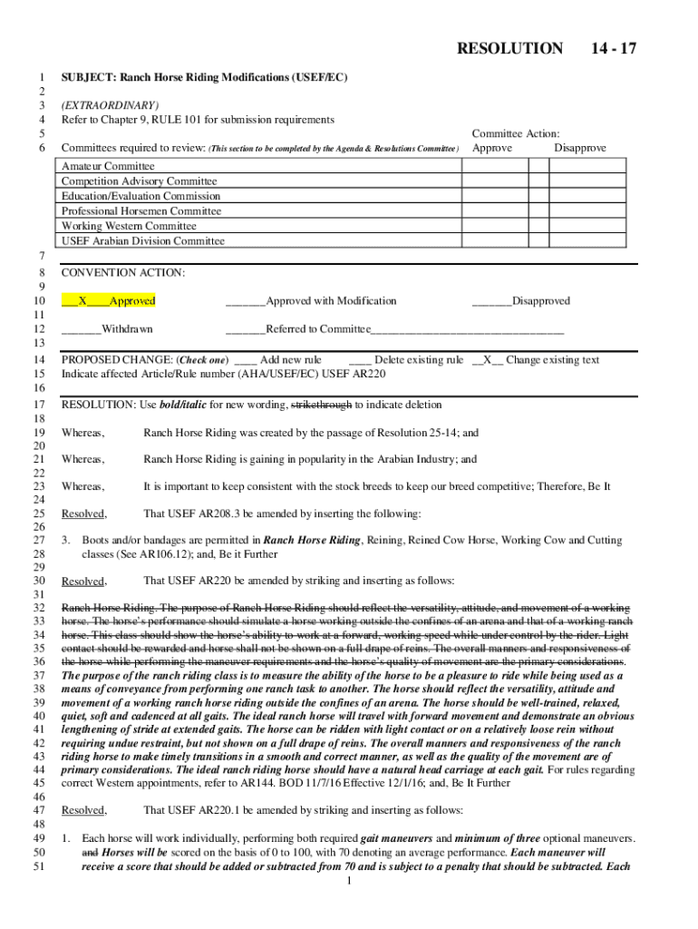
RESOLUTION 1 2 3 4 5 614 17SUBJECT: Ranch Horse Riding Modifications (USED/EC) (EXTRAORDINARY) Refer to Chapter 9, RULE 101 for submission requirements Committees required to review: (This section
We are not affiliated with any brand or entity on this form
Get, Create, Make and Sign chapter ws western division
Edit your chapter ws western division form online
Type text, complete fillable fields, insert images, highlight or blackout data for discretion, add comments, and more.
Add your legally-binding signature
Draw or type your signature, upload a signature image, or capture it with your digital camera.
Share your form instantly
Email, fax, or share your chapter ws western division form via URL. You can also download, print, or export forms to your preferred cloud storage service.
Editing chapter ws western division online
Follow the steps down below to take advantage of the professional PDF editor:
1
Log in to your account. Start Free Trial and register a profile if you don't have one.
2
Prepare a file. Use the Add New button to start a new project. Then, using your device, upload your file to the system by importing it from internal mail, the cloud, or adding its URL.
3
Edit chapter ws western division. Replace text, adding objects, rearranging pages, and more. Then select the Documents tab to combine, divide, lock or unlock the file.
4
Save your file. Choose it from the list of records. Then, shift the pointer to the right toolbar and select one of the several exporting methods: save it in multiple formats, download it as a PDF, email it, or save it to the cloud.
It's easier to work with documents with pdfFiller than you could have ever thought. Sign up for a free account to view.
Uncompromising security for your PDF editing and eSignature needs
Your private information is safe with pdfFiller. We employ end-to-end encryption, secure cloud storage, and advanced access control to protect your documents and maintain regulatory compliance.
How to fill out chapter ws western division
How to fill out chapter ws western division
01
Obtain the chapter ws western division form from the relevant authority or website.
02
Fill out your personal information accurately, including your name, address, and contact information.
03
Provide all necessary details related to the western division, such as the chapter name, location, and any specific requirements.
04
Review the form for any errors or missing information before submitting it.
05
Submit the completed chapter ws western division form to the appropriate department or individual.
Who needs chapter ws western division?
01
Individuals or organizations who are part of the western division and are required to provide specific information or updates related to their chapter.
Fill
form
: Try Risk Free
For pdfFiller’s FAQs
Below is a list of the most common customer questions. If you can’t find an answer to your question, please don’t hesitate to reach out to us.
How do I make changes in chapter ws western division?
pdfFiller allows you to edit not only the content of your files, but also the quantity and sequence of the pages. Upload your chapter ws western division to the editor and make adjustments in a matter of seconds. Text in PDFs may be blacked out, typed in, and erased using the editor. You may also include photos, sticky notes, and text boxes, among other things.
How do I make edits in chapter ws western division without leaving Chrome?
Add pdfFiller Google Chrome Extension to your web browser to start editing chapter ws western division and other documents directly from a Google search page. The service allows you to make changes in your documents when viewing them in Chrome. Create fillable documents and edit existing PDFs from any internet-connected device with pdfFiller.
How do I edit chapter ws western division on an Android device?
Yes, you can. With the pdfFiller mobile app for Android, you can edit, sign, and share chapter ws western division on your mobile device from any location; only an internet connection is needed. Get the app and start to streamline your document workflow from anywhere.
What is chapter ws western division?
Chapter ws western division refers to a specific section of bankruptcy law that applies to cases filed in the Western Division of a court.
Who is required to file chapter ws western division?
Individuals or businesses seeking bankruptcy protection in the Western Division of a court are required to file chapter ws western division.
How to fill out chapter ws western division?
To fill out chapter ws western division, you must provide detailed information about your financial situation and comply with the requirements outlined in the bankruptcy laws.
What is the purpose of chapter ws western division?
The purpose of chapter ws western division is to enable individuals and businesses to restructure their debts and assets under the supervision of a court, in order to seek relief from overwhelming financial obligations.
What information must be reported on chapter ws western division?
On chapter ws western division, you must report detailed information about your income, expenses, assets, liabilities, and any previous bankruptcy filings.
Fill out your chapter ws western division online with pdfFiller!
pdfFiller is an end-to-end solution for managing, creating, and editing documents and forms in the cloud. Save time and hassle by preparing your tax forms online.
Chapter Ws Western Division is not the form you're looking for?Search for another form here.
Relevant keywords
Related Forms
If you believe that this page should be taken down, please follow our DMCA take down process
here
.
This form may include fields for payment information. Data entered in these fields is not covered by PCI DSS compliance.