Get the free Coronavirus Relief Fund (CRF) Sub-Grantee Agreement
Show details
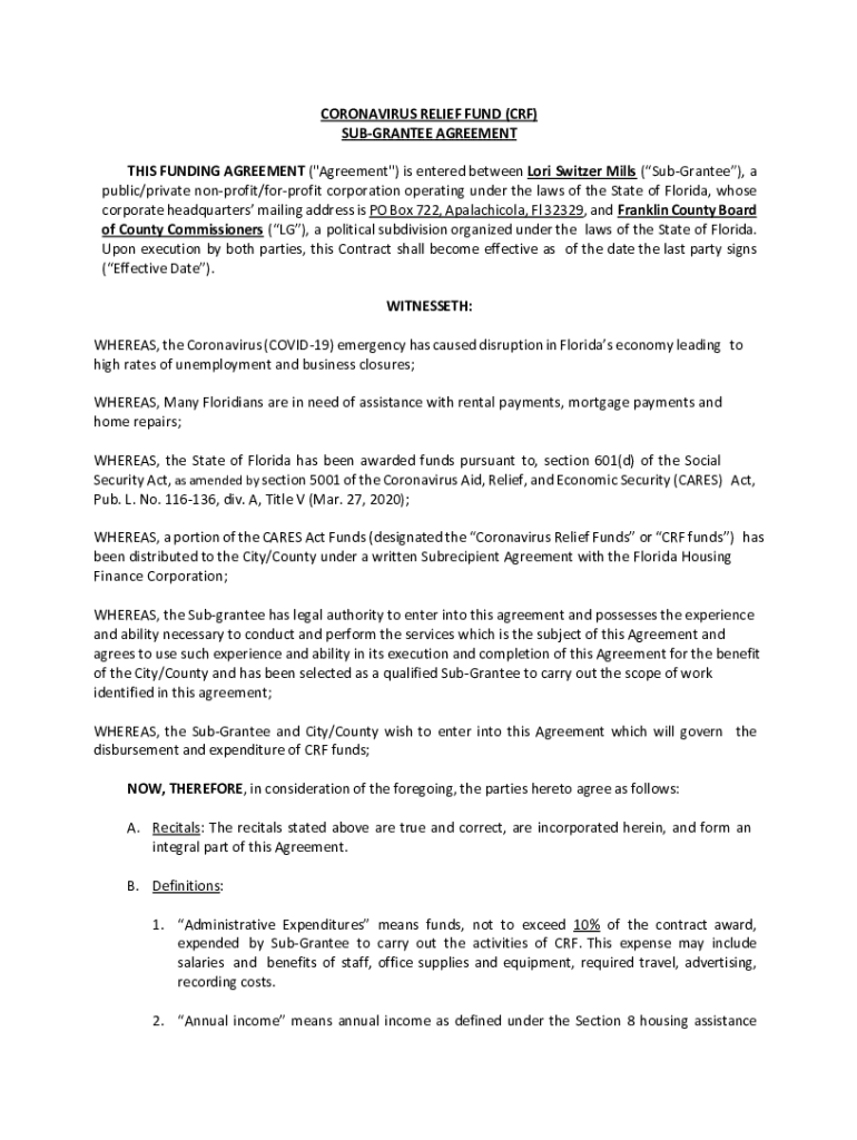
CORONAVIRUS RELIEF FUND (CRF) GUARANTEE AGREEMENT THIS FUNDING AGREEMENT (\” Agreement\”) is entered between Lori Switzer Mills (Guarantee), a public/private nonprofit/for profit corporation operating
We are not affiliated with any brand or entity on this form
Get, Create, Make and Sign coronavirus relief fund crf
Edit your coronavirus relief fund crf form online
Type text, complete fillable fields, insert images, highlight or blackout data for discretion, add comments, and more.
Add your legally-binding signature
Draw or type your signature, upload a signature image, or capture it with your digital camera.
Share your form instantly
Email, fax, or share your coronavirus relief fund crf form via URL. You can also download, print, or export forms to your preferred cloud storage service.
Editing coronavirus relief fund crf online
Here are the steps you need to follow to get started with our professional PDF editor:
1
Register the account. Begin by clicking Start Free Trial and create a profile if you are a new user.
2
Upload a document. Select Add New on your Dashboard and transfer a file into the system in one of the following ways: by uploading it from your device or importing from the cloud, web, or internal mail. Then, click Start editing.
3
Edit coronavirus relief fund crf. Rearrange and rotate pages, add new and changed texts, add new objects, and use other useful tools. When you're done, click Done. You can use the Documents tab to merge, split, lock, or unlock your files.
4
Get your file. Select the name of your file in the docs list and choose your preferred exporting method. You can download it as a PDF, save it in another format, send it by email, or transfer it to the cloud.
pdfFiller makes working with documents easier than you could ever imagine. Try it for yourself by creating an account!
Uncompromising security for your PDF editing and eSignature needs
Your private information is safe with pdfFiller. We employ end-to-end encryption, secure cloud storage, and advanced access control to protect your documents and maintain regulatory compliance.
How to fill out coronavirus relief fund crf
How to fill out coronavirus relief fund crf
01
Gather all necessary documents such as identification, proof of income, and proof of loss of income due to COVID-19.
02
Visit the official website of the organization or government agency providing the CRF application.
03
Fill out the application form completely and accurately, providing all requested information.
04
Submit the application online or by mail, following the instructions provided.
05
Wait for a response from the organization or government agency regarding the status of your application.
Who needs coronavirus relief fund crf?
01
Individuals who have lost income due to COVID-19.
02
Small business owners who have been impacted by the pandemic.
03
Nonprofit organizations that are struggling to provide essential services.
Fill
form
: Try Risk Free
For pdfFiller’s FAQs
Below is a list of the most common customer questions. If you can’t find an answer to your question, please don’t hesitate to reach out to us.
How can I edit coronavirus relief fund crf from Google Drive?
By combining pdfFiller with Google Docs, you can generate fillable forms directly in Google Drive. No need to leave Google Drive to make edits or sign documents, including coronavirus relief fund crf. Use pdfFiller's features in Google Drive to handle documents on any internet-connected device.
How can I send coronavirus relief fund crf to be eSigned by others?
Once your coronavirus relief fund crf is ready, you can securely share it with recipients and collect eSignatures in a few clicks with pdfFiller. You can send a PDF by email, text message, fax, USPS mail, or notarize it online - right from your account. Create an account now and try it yourself.
Where do I find coronavirus relief fund crf?
The premium subscription for pdfFiller provides you with access to an extensive library of fillable forms (over 25M fillable templates) that you can download, fill out, print, and sign. You won’t have any trouble finding state-specific coronavirus relief fund crf and other forms in the library. Find the template you need and customize it using advanced editing functionalities.
What is coronavirus relief fund crf?
The coronavirus relief fund (CRF) is a financial assistance program established to provide aid to individuals, families, businesses, and organizations affected by the COVID-19 pandemic.
Who is required to file coronavirus relief fund crf?
Entities that have received funds from the coronavirus relief fund are required to file CRF reports.
How to fill out coronavirus relief fund crf?
The CRF report can be filled out online through the designated portal provided by the funding agency.
What is the purpose of coronavirus relief fund crf?
The purpose of the coronavirus relief fund is to provide financial assistance and support to those impacted by the COVID-19 pandemic.
What information must be reported on coronavirus relief fund crf?
Entities are required to report on how the CRF funds were used, including specific expenditures and the impact of the funds.
Fill out your coronavirus relief fund crf online with pdfFiller!
pdfFiller is an end-to-end solution for managing, creating, and editing documents and forms in the cloud. Save time and hassle by preparing your tax forms online.
Coronavirus Relief Fund Crf is not the form you're looking for?Search for another form here.
Relevant keywords
Related Forms
If you believe that this page should be taken down, please follow our DMCA take down process
here
.
This form may include fields for payment information. Data entered in these fields is not covered by PCI DSS compliance.