
Get the free 4+1 Florida Poly Agreement
Show details
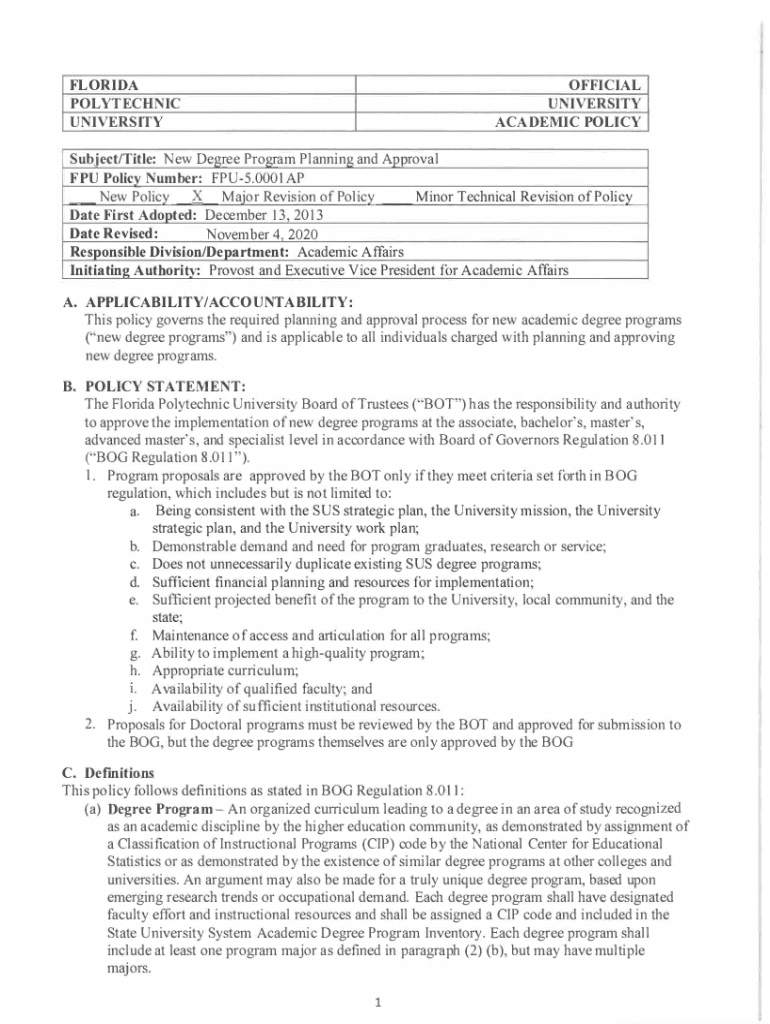
FLORIDA POLYTECHNIC UNIVERSITYOFFICIAL UNIVERSITY ACADEMIC Policy_jet/Title: New Degree Program Planning and Approval FPU Policy Number: FPU5.0001AP New Policy X Major Revision of Policy Minor Technical
We are not affiliated with any brand or entity on this form
Get, Create, Make and Sign 41 florida poly agreement

Edit your 41 florida poly agreement form online
Type text, complete fillable fields, insert images, highlight or blackout data for discretion, add comments, and more.

Add your legally-binding signature
Draw or type your signature, upload a signature image, or capture it with your digital camera.

Share your form instantly
Email, fax, or share your 41 florida poly agreement form via URL. You can also download, print, or export forms to your preferred cloud storage service.
How to edit 41 florida poly agreement online
To use the professional PDF editor, follow these steps below:
1
Set up an account. If you are a new user, click Start Free Trial and establish a profile.
2
Simply add a document. Select Add New from your Dashboard and import a file into the system by uploading it from your device or importing it via the cloud, online, or internal mail. Then click Begin editing.
3
Edit 41 florida poly agreement. Rearrange and rotate pages, add and edit text, and use additional tools. To save changes and return to your Dashboard, click Done. The Documents tab allows you to merge, divide, lock, or unlock files.
4
Save your file. Choose it from the list of records. Then, shift the pointer to the right toolbar and select one of the several exporting methods: save it in multiple formats, download it as a PDF, email it, or save it to the cloud.
Dealing with documents is always simple with pdfFiller.
Uncompromising security for your PDF editing and eSignature needs
Your private information is safe with pdfFiller. We employ end-to-end encryption, secure cloud storage, and advanced access control to protect your documents and maintain regulatory compliance.
How to fill out 41 florida poly agreement

How to fill out 41 florida poly agreement
01
Download the 41 florida poly agreement form from the official website.
02
Fill in your personal information such as name, address, and contact details.
03
Provide the necessary information about the agreement terms and conditions.
04
Review the filled out form for accuracy and completeness.
05
Sign and date the form to finalize the agreement.
Who needs 41 florida poly agreement?
01
Students who are attending or planning to attend Florida Polytechnic University need the 41 florida poly agreement in order to participate in certain programs or activities.
Fill
form
: Try Risk Free
For pdfFiller’s FAQs
Below is a list of the most common customer questions. If you can’t find an answer to your question, please don’t hesitate to reach out to us.
How can I send 41 florida poly agreement to be eSigned by others?
To distribute your 41 florida poly agreement, simply send it to others and receive the eSigned document back instantly. Post or email a PDF that you've notarized online. Doing so requires never leaving your account.
How can I get 41 florida poly agreement?
With pdfFiller, an all-in-one online tool for professional document management, it's easy to fill out documents. Over 25 million fillable forms are available on our website, and you can find the 41 florida poly agreement in a matter of seconds. Open it right away and start making it your own with help from advanced editing tools.
How do I fill out 41 florida poly agreement using my mobile device?
You can quickly make and fill out legal forms with the help of the pdfFiller app on your phone. Complete and sign 41 florida poly agreement and other documents on your mobile device using the application. If you want to learn more about how the PDF editor works, go to pdfFiller.com.
What is 41 florida poly agreement?
41 florida poly agreement is a document that establishes an agreement between the State of Florida and Florida Polytechnic University regarding certain financial matters.
Who is required to file 41 florida poly agreement?
Florida Polytechnic University is required to file 41 florida poly agreement.
How to fill out 41 florida poly agreement?
To fill out 41 florida poly agreement, the university needs to provide detailed information about the financial arrangements and agreements between the State of Florida and the university.
What is the purpose of 41 florida poly agreement?
The purpose of 41 florida poly agreement is to ensure transparency and accountability in the financial relationship between the State of Florida and Florida Polytechnic University.
What information must be reported on 41 florida poly agreement?
41 florida poly agreement must report financial details, agreements, and any other relevant information related to the financial relationship between the State of Florida and Florida Polytechnic University.
Fill out your 41 florida poly agreement online with pdfFiller!
pdfFiller is an end-to-end solution for managing, creating, and editing documents and forms in the cloud. Save time and hassle by preparing your tax forms online.

41 Florida Poly Agreement is not the form you're looking for?Search for another form here.
Relevant keywords
Related Forms
If you believe that this page should be taken down, please follow our DMCA take down process
here
.
This form may include fields for payment information. Data entered in these fields is not covered by PCI DSS compliance.