Get the free Research Paper Critique.docx
Show details
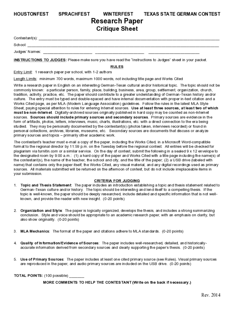
HOUSTONFESTSPRACHFESTWINTERFESTTEXAS STATE GERMAN CONTESTResearch Paper
Critique Sheet
Contestant(s): ___
School: ___
Judges Names: ___ ______INSTRUCTIONS TO JUDGES: Please make sure you have read
We are not affiliated with any brand or entity on this form
Get, Create, Make and Sign research paper critiquedocx
Edit your research paper critiquedocx form online
Type text, complete fillable fields, insert images, highlight or blackout data for discretion, add comments, and more.
Add your legally-binding signature
Draw or type your signature, upload a signature image, or capture it with your digital camera.
Share your form instantly
Email, fax, or share your research paper critiquedocx form via URL. You can also download, print, or export forms to your preferred cloud storage service.
How to edit research paper critiquedocx online
To use our professional PDF editor, follow these steps:
1
Log in. Click Start Free Trial and create a profile if necessary.
2
Upload a file. Select Add New on your Dashboard and upload a file from your device or import it from the cloud, online, or internal mail. Then click Edit.
3
Edit research paper critiquedocx. Rearrange and rotate pages, insert new and alter existing texts, add new objects, and take advantage of other helpful tools. Click Done to apply changes and return to your Dashboard. Go to the Documents tab to access merging, splitting, locking, or unlocking functions.
4
Save your file. Choose it from the list of records. Then, shift the pointer to the right toolbar and select one of the several exporting methods: save it in multiple formats, download it as a PDF, email it, or save it to the cloud.
pdfFiller makes dealing with documents a breeze. Create an account to find out!
Uncompromising security for your PDF editing and eSignature needs
Your private information is safe with pdfFiller. We employ end-to-end encryption, secure cloud storage, and advanced access control to protect your documents and maintain regulatory compliance.
How to fill out research paper critiquedocx
How to fill out research paper critiquedocx
01
Read the research paper thoroughly to understand the content.
02
Take notes on key points, strengths, and weaknesses of the paper.
03
Identify the thesis statement and see if it is well-supported throughout the paper.
04
Evaluate the methodology used in the research and analyze if it is appropriate.
05
Critique the results and discussion sections for clarity and relevance.
06
Provide constructive feedback on the overall quality and significance of the research.
Who needs research paper critiquedocx?
01
Students working on a research project.
02
Academic researchers looking to improve their work.
03
Editors or peer reviewers assessing the quality of a research paper.
Fill
form
: Try Risk Free
For pdfFiller’s FAQs
Below is a list of the most common customer questions. If you can’t find an answer to your question, please don’t hesitate to reach out to us.
How can I send research paper critiquedocx to be eSigned by others?
When you're ready to share your research paper critiquedocx, you can swiftly email it to others and receive the eSigned document back. You may send your PDF through email, fax, text message, or USPS mail, or you can notarize it online. All of this may be done without ever leaving your account.
Can I create an electronic signature for signing my research paper critiquedocx in Gmail?
You can easily create your eSignature with pdfFiller and then eSign your research paper critiquedocx directly from your inbox with the help of pdfFiller’s add-on for Gmail. Please note that you must register for an account in order to save your signatures and signed documents.
Can I edit research paper critiquedocx on an iOS device?
Create, modify, and share research paper critiquedocx using the pdfFiller iOS app. Easy to install from the Apple Store. You may sign up for a free trial and then purchase a membership.
What is research paper critiquedocx?
Research paper critiquedocx is a document that provides a critical analysis of a research paper.
Who is required to file research paper critiquedocx?
Students, researchers, or individuals who are asked to provide a critique of a research paper are required to file research paper critiquedocx.
How to fill out research paper critiquedocx?
To fill out research paper critiquedocx, one must carefully read and analyze the research paper, provide constructive feedback, and follow any specific guidelines provided for the critique.
What is the purpose of research paper critiquedocx?
The purpose of research paper critiquedocx is to evaluate the strengths and weaknesses of a research paper, provide feedback to the author, and contribute to the advancement of knowledge in the field.
What information must be reported on research paper critiquedocx?
Information such as the title of the research paper, author(s) name, date of publication, main research questions, methodology used, results, conclusions, and recommendations may need to be reported on research paper critiquedocx.
Fill out your research paper critiquedocx online with pdfFiller!
pdfFiller is an end-to-end solution for managing, creating, and editing documents and forms in the cloud. Save time and hassle by preparing your tax forms online.
Research Paper Critiquedocx is not the form you're looking for?Search for another form here.
Relevant keywords
Related Forms
If you believe that this page should be taken down, please follow our DMCA take down process
here
.
This form may include fields for payment information. Data entered in these fields is not covered by PCI DSS compliance.