
Get the free How to Apply - Host UnitsUS Forest Service
Show details
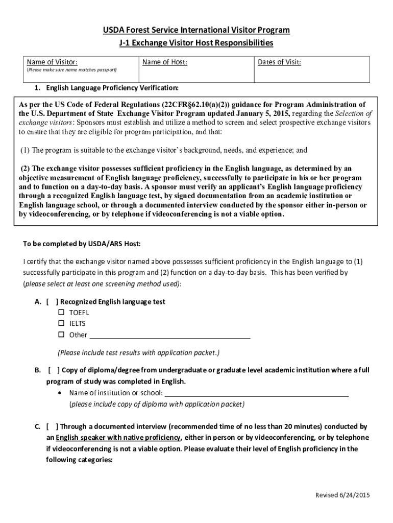
USDA Forest Service International Visitor Program J1 Exchange Visitor Host Responsibilities Name of Visitor:(Please make sure name matches passport)Name of Host:Dates of Visit:1. English Language
We are not affiliated with any brand or entity on this form
Get, Create, Make and Sign how to apply

Edit your how to apply form online
Type text, complete fillable fields, insert images, highlight or blackout data for discretion, add comments, and more.

Add your legally-binding signature
Draw or type your signature, upload a signature image, or capture it with your digital camera.

Share your form instantly
Email, fax, or share your how to apply form via URL. You can also download, print, or export forms to your preferred cloud storage service.
Editing how to apply online
Here are the steps you need to follow to get started with our professional PDF editor:
1
Register the account. Begin by clicking Start Free Trial and create a profile if you are a new user.
2
Simply add a document. Select Add New from your Dashboard and import a file into the system by uploading it from your device or importing it via the cloud, online, or internal mail. Then click Begin editing.
3
Edit how to apply. Add and change text, add new objects, move pages, add watermarks and page numbers, and more. Then click Done when you're done editing and go to the Documents tab to merge or split the file. If you want to lock or unlock the file, click the lock or unlock button.
4
Save your file. Choose it from the list of records. Then, shift the pointer to the right toolbar and select one of the several exporting methods: save it in multiple formats, download it as a PDF, email it, or save it to the cloud.
With pdfFiller, it's always easy to work with documents. Try it out!
Uncompromising security for your PDF editing and eSignature needs
Your private information is safe with pdfFiller. We employ end-to-end encryption, secure cloud storage, and advanced access control to protect your documents and maintain regulatory compliance.
How to fill out how to apply

How to fill out how to apply
01
Gather all necessary documents and information needed for the application.
02
Look for the official website or contact the organization where you need to apply.
03
Fill out the application form completely and accurately.
04
Review the application for any errors or missing information before submitting.
05
Submit the application as per the instructions provided.
Who needs how to apply?
01
Anyone who is required to apply for something such as a job, program, license, funding, etc. would need to follow the steps on how to apply.
Fill
form
: Try Risk Free
For pdfFiller’s FAQs
Below is a list of the most common customer questions. If you can’t find an answer to your question, please don’t hesitate to reach out to us.
How do I modify my how to apply in Gmail?
You can use pdfFiller’s add-on for Gmail in order to modify, fill out, and eSign your how to apply along with other documents right in your inbox. Find pdfFiller for Gmail in Google Workspace Marketplace. Use time you spend on handling your documents and eSignatures for more important things.
How can I get how to apply?
It's simple using pdfFiller, an online document management tool. Use our huge online form collection (over 25M fillable forms) to quickly discover the how to apply. Open it immediately and start altering it with sophisticated capabilities.
How can I edit how to apply on a smartphone?
The best way to make changes to documents on a mobile device is to use pdfFiller's apps for iOS and Android. You may get them from the Apple Store and Google Play. Learn more about the apps here. To start editing how to apply, you need to install and log in to the app.
What is how to apply?
How to apply is the process of submitting an application for a particular program or service.
Who is required to file how to apply?
Any individual or organization that meets the eligibility criteria for the program or service.
How to fill out how to apply?
To fill out how to apply, you typically need to provide personal information, details about your qualifications, and any additional documentation required.
What is the purpose of how to apply?
The purpose of how to apply is to formally request consideration for a specific program or service.
What information must be reported on how to apply?
The required information on how to apply may vary depending on the program or service, but typically includes personal details, contact information, and relevant qualifications.
Fill out your how to apply online with pdfFiller!
pdfFiller is an end-to-end solution for managing, creating, and editing documents and forms in the cloud. Save time and hassle by preparing your tax forms online.

How To Apply is not the form you're looking for?Search for another form here.
Relevant keywords
Related Forms
If you believe that this page should be taken down, please follow our DMCA take down process
here
.
This form may include fields for payment information. Data entered in these fields is not covered by PCI DSS compliance.