
Get the free revenue procedure statement 87-9 slovenia - AdmiNET
Show details
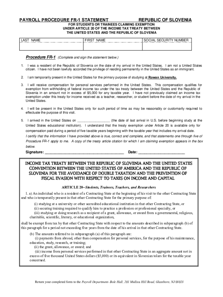
PAYROLL PROCEDURE FR1 STATEMENTREPUBLIC OF SLOVENIA STUDENTS OR TRAINEES CLAIMING EXEMPTION
UNDER ARTICLE 20 OF THE INCOME TAX TREATY BETWEEN
THE UNITED STATES AND THE REPUBLIC OF SLOVENIA
LAST NAMEFIRST
We are not affiliated with any brand or entity on this form
Get, Create, Make and Sign revenue procedure statement 87-9

Edit your revenue procedure statement 87-9 form online
Type text, complete fillable fields, insert images, highlight or blackout data for discretion, add comments, and more.

Add your legally-binding signature
Draw or type your signature, upload a signature image, or capture it with your digital camera.

Share your form instantly
Email, fax, or share your revenue procedure statement 87-9 form via URL. You can also download, print, or export forms to your preferred cloud storage service.
Editing revenue procedure statement 87-9 online
Follow the guidelines below to take advantage of the professional PDF editor:
1
Register the account. Begin by clicking Start Free Trial and create a profile if you are a new user.
2
Prepare a file. Use the Add New button to start a new project. Then, using your device, upload your file to the system by importing it from internal mail, the cloud, or adding its URL.
3
Edit revenue procedure statement 87-9. Add and replace text, insert new objects, rearrange pages, add watermarks and page numbers, and more. Click Done when you are finished editing and go to the Documents tab to merge, split, lock or unlock the file.
4
Get your file. When you find your file in the docs list, click on its name and choose how you want to save it. To get the PDF, you can save it, send an email with it, or move it to the cloud.
The use of pdfFiller makes dealing with documents straightforward.
Uncompromising security for your PDF editing and eSignature needs
Your private information is safe with pdfFiller. We employ end-to-end encryption, secure cloud storage, and advanced access control to protect your documents and maintain regulatory compliance.
How to fill out revenue procedure statement 87-9

How to fill out revenue procedure statement 87-9
01
Review the revenue procedure statement 87-9 form to understand the specific information needed.
02
Fill out the taxpayer information section with accurate details.
03
Provide information about the transaction or arrangement that the statement pertains to.
04
Include any relevant supporting documentation or calculations as required.
05
Double check the form for any errors or missing information before submitting.
Who needs revenue procedure statement 87-9?
01
Taxpayers who are subject to the provisions outlined in revenue procedure statement 87-9 would need to fill out this form.
02
Businesses or individuals who are engaged in transactions or arrangements that fall under the guidelines of revenue procedure statement 87-9 would also need to complete this form.
Fill
form
: Try Risk Free
For pdfFiller’s FAQs
Below is a list of the most common customer questions. If you can’t find an answer to your question, please don’t hesitate to reach out to us.
How do I execute revenue procedure statement 87-9 online?
With pdfFiller, you may easily complete and sign revenue procedure statement 87-9 online. It lets you modify original PDF material, highlight, blackout, erase, and write text anywhere on a page, legally eSign your document, and do a lot more. Create a free account to handle professional papers online.
How do I make changes in revenue procedure statement 87-9?
pdfFiller allows you to edit not only the content of your files, but also the quantity and sequence of the pages. Upload your revenue procedure statement 87-9 to the editor and make adjustments in a matter of seconds. Text in PDFs may be blacked out, typed in, and erased using the editor. You may also include photos, sticky notes, and text boxes, among other things.
Can I create an electronic signature for signing my revenue procedure statement 87-9 in Gmail?
Use pdfFiller's Gmail add-on to upload, type, or draw a signature. Your revenue procedure statement 87-9 and other papers may be signed using pdfFiller. Register for a free account to preserve signed papers and signatures.
What is revenue procedure statement 87-9?
Revenue Procedure Statement 87-9 provides guidelines on how to allocate and report income among partners in a partnership for tax purposes.
Who is required to file revenue procedure statement 87-9?
Partnerships that have multiple partners with different profit-sharing ratios are required to file revenue procedure statement 87-9.
How to fill out revenue procedure statement 87-9?
Revenue Procedure Statement 87-9 should be filled out by following the instructions provided in the document, ensuring accurate allocation and reporting of income among partners.
What is the purpose of revenue procedure statement 87-9?
The purpose of revenue procedure statement 87-9 is to ensure proper allocation and reporting of income among partners in a partnership, for tax compliance purposes.
What information must be reported on revenue procedure statement 87-9?
Revenue Procedure Statement 87-9 requires information about each partner's profit-sharing ratio, allocated income, deductions, and other relevant tax details.
Fill out your revenue procedure statement 87-9 online with pdfFiller!
pdfFiller is an end-to-end solution for managing, creating, and editing documents and forms in the cloud. Save time and hassle by preparing your tax forms online.

Revenue Procedure Statement 87-9 is not the form you're looking for?Search for another form here.
Relevant keywords
If you believe that this page should be taken down, please follow our DMCA take down process
here
.
This form may include fields for payment information. Data entered in these fields is not covered by PCI DSS compliance.