Get the free PAR-21-241: NCCIH Multi-Site Feasibility Clinical Trials of ...
Show details
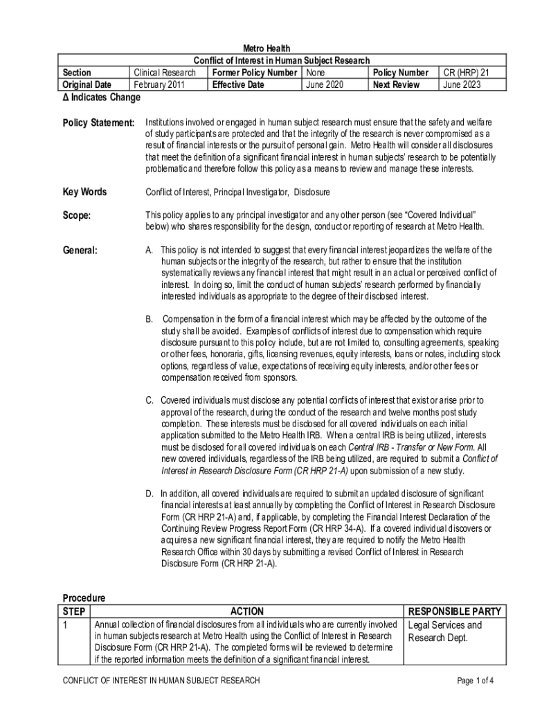
Section Original Dateset Health Conflict of Interest in Human Subject Research Former Policy Number None Policy Number Clinical Research Effective Date Next Review February 2011 June 2020CR (HIP)
We are not affiliated with any brand or entity on this form
Get, Create, Make and Sign par-21-241 nccih multi-site feasibility
Edit your par-21-241 nccih multi-site feasibility form online
Type text, complete fillable fields, insert images, highlight or blackout data for discretion, add comments, and more.
Add your legally-binding signature
Draw or type your signature, upload a signature image, or capture it with your digital camera.
Share your form instantly
Email, fax, or share your par-21-241 nccih multi-site feasibility form via URL. You can also download, print, or export forms to your preferred cloud storage service.
How to edit par-21-241 nccih multi-site feasibility online
In order to make advantage of the professional PDF editor, follow these steps:
1
Register the account. Begin by clicking Start Free Trial and create a profile if you are a new user.
2
Simply add a document. Select Add New from your Dashboard and import a file into the system by uploading it from your device or importing it via the cloud, online, or internal mail. Then click Begin editing.
3
Edit par-21-241 nccih multi-site feasibility. Rearrange and rotate pages, add new and changed texts, add new objects, and use other useful tools. When you're done, click Done. You can use the Documents tab to merge, split, lock, or unlock your files.
4
Save your file. Select it from your list of records. Then, move your cursor to the right toolbar and choose one of the exporting options. You can save it in multiple formats, download it as a PDF, send it by email, or store it in the cloud, among other things.
pdfFiller makes dealing with documents a breeze. Create an account to find out!
Uncompromising security for your PDF editing and eSignature needs
Your private information is safe with pdfFiller. We employ end-to-end encryption, secure cloud storage, and advanced access control to protect your documents and maintain regulatory compliance.
How to fill out par-21-241 nccih multi-site feasibility
How to fill out par-21-241 nccih multi-site feasibility
01
Review the funding opportunity announcement (FOA) to understand the specific requirements for par-21-241 NCCIH multi-site feasibility.
02
Ensure you have all necessary documents and information before starting the application process.
03
Access the application portal for the funding opportunity and create an account if needed.
04
Fill out the application form according to the guidelines provided in the FOA.
05
Submit the completed application before the deadline, making sure to double-check for any errors or missing information.
Who needs par-21-241 nccih multi-site feasibility?
01
Researchers and institutions interested in conducting multi-site feasibility studies in the field of complementary and integrative health.
02
Individuals or organizations looking for funding to support research on the feasibility of multi-site projects related to NCCIH priorities.
Fill
form
: Try Risk Free
For pdfFiller’s FAQs
Below is a list of the most common customer questions. If you can’t find an answer to your question, please don’t hesitate to reach out to us.
How do I modify my par-21-241 nccih multi-site feasibility in Gmail?
It's easy to use pdfFiller's Gmail add-on to make and edit your par-21-241 nccih multi-site feasibility and any other documents you get right in your email. You can also eSign them. Take a look at the Google Workspace Marketplace and get pdfFiller for Gmail. Get rid of the time-consuming steps and easily manage your documents and eSignatures with the help of an app.
Can I sign the par-21-241 nccih multi-site feasibility electronically in Chrome?
Yes. By adding the solution to your Chrome browser, you can use pdfFiller to eSign documents and enjoy all of the features of the PDF editor in one place. Use the extension to create a legally-binding eSignature by drawing it, typing it, or uploading a picture of your handwritten signature. Whatever you choose, you will be able to eSign your par-21-241 nccih multi-site feasibility in seconds.
Can I create an eSignature for the par-21-241 nccih multi-site feasibility in Gmail?
You may quickly make your eSignature using pdfFiller and then eSign your par-21-241 nccih multi-site feasibility right from your mailbox using pdfFiller's Gmail add-on. Please keep in mind that in order to preserve your signatures and signed papers, you must first create an account.
What is par-21-241 nccih multi-site feasibility?
PAR-21-241 NCCIH multi-site feasibility refers to a funding opportunity announcement from the National Center for Complementary and Integrative Health (NCCIH) that allows researchers to assess the feasibility of conducting multi-site studies.
Who is required to file par-21-241 nccih multi-site feasibility?
Researchers or institutions planning to conduct multi-site studies in complementary and integrative health research are required to file the PAR-21-241 NCCIH multi-site feasibility.
How to fill out par-21-241 nccih multi-site feasibility?
To fill out the PAR-21-241 NCCIH multi-site feasibility, applicants must follow the specific application guidelines provided by the NCCIH and include all required information such as study design, objectives, and multi-site coordination details.
What is the purpose of par-21-241 nccih multi-site feasibility?
The purpose of PAR-21-241 NCCIH multi-site feasibility is to enable researchers to evaluate the practicality and potential effectiveness of conducting multi-site studies in the field of complementary and integrative health.
What information must be reported on par-21-241 nccih multi-site feasibility?
The information that must be reported includes the study rationale, methodology, participating sites, budget justification, project timeline, and any preliminary data supporting the feasibility of the study.
Fill out your par-21-241 nccih multi-site feasibility online with pdfFiller!
pdfFiller is an end-to-end solution for managing, creating, and editing documents and forms in the cloud. Save time and hassle by preparing your tax forms online.
Par-21-241 Nccih Multi-Site Feasibility is not the form you're looking for?Search for another form here.
Relevant keywords
Related Forms
If you believe that this page should be taken down, please follow our DMCA take down process
here
.
This form may include fields for payment information. Data entered in these fields is not covered by PCI DSS compliance.