Get the free Course Choice Form for Integrated Science
Show details
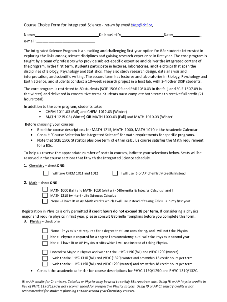
Course Choice Form for Integrated Science return by email (disp@dal.ca) Name: Jalousie ID: email: ___Date:_The Integrated Science Program is an exciting and challenging first year option for B.Sc.
We are not affiliated with any brand or entity on this form
Get, Create, Make and Sign course choice form for
Edit your course choice form for form online
Type text, complete fillable fields, insert images, highlight or blackout data for discretion, add comments, and more.
Add your legally-binding signature
Draw or type your signature, upload a signature image, or capture it with your digital camera.
Share your form instantly
Email, fax, or share your course choice form for form via URL. You can also download, print, or export forms to your preferred cloud storage service.
Editing course choice form for online
Follow the steps down below to take advantage of the professional PDF editor:
1
Create an account. Begin by choosing Start Free Trial and, if you are a new user, establish a profile.
2
Simply add a document. Select Add New from your Dashboard and import a file into the system by uploading it from your device or importing it via the cloud, online, or internal mail. Then click Begin editing.
3
Edit course choice form for. Add and change text, add new objects, move pages, add watermarks and page numbers, and more. Then click Done when you're done editing and go to the Documents tab to merge or split the file. If you want to lock or unlock the file, click the lock or unlock button.
4
Save your file. Select it from your list of records. Then, move your cursor to the right toolbar and choose one of the exporting options. You can save it in multiple formats, download it as a PDF, send it by email, or store it in the cloud, among other things.
pdfFiller makes working with documents easier than you could ever imagine. Register for an account and see for yourself!
Uncompromising security for your PDF editing and eSignature needs
Your private information is safe with pdfFiller. We employ end-to-end encryption, secure cloud storage, and advanced access control to protect your documents and maintain regulatory compliance.
How to fill out course choice form for
How to fill out course choice form for
01
Obtain the course choice form from your school or educational institution.
02
Fill out your personal information such as name, student ID, and contact information.
03
Select the courses you wish to enroll in for the upcoming semester, making sure to follow any prerequisites or requirements.
04
Indicate your preferred schedule for each course, including specific days and times if applicable.
05
Review the completed form for accuracy and make any necessary corrections before submitting it to the designated department or office.
Who needs course choice form for?
01
Students who are planning their course schedule for the next semester.
02
Students who are making changes to their current course enrollment.
03
School counselors or academic advisors who are assisting students with course selection.
Fill
form
: Try Risk Free
For pdfFiller’s FAQs
Below is a list of the most common customer questions. If you can’t find an answer to your question, please don’t hesitate to reach out to us.
How can I edit course choice form for from Google Drive?
You can quickly improve your document management and form preparation by integrating pdfFiller with Google Docs so that you can create, edit and sign documents directly from your Google Drive. The add-on enables you to transform your course choice form for into a dynamic fillable form that you can manage and eSign from any internet-connected device.
How can I get course choice form for?
The pdfFiller premium subscription gives you access to a large library of fillable forms (over 25 million fillable templates) that you can download, fill out, print, and sign. In the library, you'll have no problem discovering state-specific course choice form for and other forms. Find the template you want and tweak it with powerful editing tools.
How do I edit course choice form for in Chrome?
Download and install the pdfFiller Google Chrome Extension to your browser to edit, fill out, and eSign your course choice form for, which you can open in the editor with a single click from a Google search page. Fillable documents may be executed from any internet-connected device without leaving Chrome.
What is course choice form for?
Course choice form is used to select the desired courses for a specific academic term.
Who is required to file course choice form for?
All students enrolled in the academic institution must file a course choice form.
How to fill out course choice form for?
Students can fill out the course choice form online through the school's student portal.
What is the purpose of course choice form for?
The purpose of the course choice form is to help students plan their academic schedule for the upcoming term.
What information must be reported on course choice form for?
Students must report the course codes, titles, and preferred schedule timings on the course choice form.
Fill out your course choice form for online with pdfFiller!
pdfFiller is an end-to-end solution for managing, creating, and editing documents and forms in the cloud. Save time and hassle by preparing your tax forms online.
Course Choice Form For is not the form you're looking for?Search for another form here.
Relevant keywords
Related Forms
If you believe that this page should be taken down, please follow our DMCA take down process
here
.
This form may include fields for payment information. Data entered in these fields is not covered by PCI DSS compliance.