Get the free HIPAA StatementInspire Hope Counseling
Show details
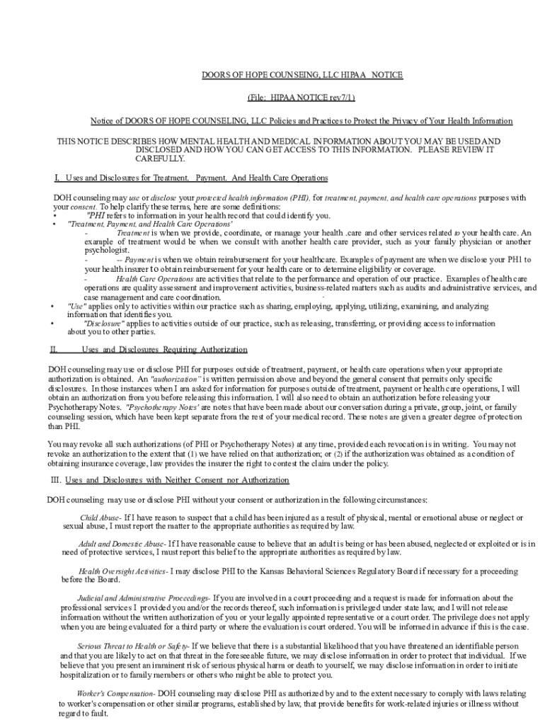
DOORS OF HOPE COUNSEING, LLC HIPAA NOTICE (File: HIPAA NOTICE rev7/1) Notice of DOORS OF HOPE COUNSELING, LLC Policies and Practices to Protect the Privacy of Your Health Information THIS NOTICE DESCRIBES
We are not affiliated with any brand or entity on this form
Get, Create, Make and Sign hipaa statementinspire hope counseling
Edit your hipaa statementinspire hope counseling form online
Type text, complete fillable fields, insert images, highlight or blackout data for discretion, add comments, and more.
Add your legally-binding signature
Draw or type your signature, upload a signature image, or capture it with your digital camera.
Share your form instantly
Email, fax, or share your hipaa statementinspire hope counseling form via URL. You can also download, print, or export forms to your preferred cloud storage service.
How to edit hipaa statementinspire hope counseling online
Here are the steps you need to follow to get started with our professional PDF editor:
1
Create an account. Begin by choosing Start Free Trial and, if you are a new user, establish a profile.
2
Upload a document. Select Add New on your Dashboard and transfer a file into the system in one of the following ways: by uploading it from your device or importing from the cloud, web, or internal mail. Then, click Start editing.
3
Edit hipaa statementinspire hope counseling. Add and change text, add new objects, move pages, add watermarks and page numbers, and more. Then click Done when you're done editing and go to the Documents tab to merge or split the file. If you want to lock or unlock the file, click the lock or unlock button.
4
Save your file. Select it in the list of your records. Then, move the cursor to the right toolbar and choose one of the available exporting methods: save it in multiple formats, download it as a PDF, send it by email, or store it in the cloud.
With pdfFiller, it's always easy to deal with documents.
Uncompromising security for your PDF editing and eSignature needs
Your private information is safe with pdfFiller. We employ end-to-end encryption, secure cloud storage, and advanced access control to protect your documents and maintain regulatory compliance.
How to fill out hipaa statementinspire hope counseling
How to fill out hipaa statementinspire hope counseling
01
To fill out the HIPAA statement for Inspire Hope Counseling, follow these steps:
02
Obtain the HIPAA statement form from Inspire Hope Counseling. This can usually be found on their website or requested from their office.
03
Read the instructions provided on the form carefully. It will contain information on how to complete the statement accurately.
04
Start by entering your personal information, such as your full name, address, phone number, and email address. Make sure to provide accurate and up-to-date information.
05
Next, carefully review the privacy practices outlined by Inspire Hope Counseling. This may include how your protected health information will be used, disclosed, and safeguarded.
06
Once you understand the privacy practices, you will be asked to sign and date the HIPAA statement to acknowledge your understanding and agreement.
07
Keep a copy of the completed HIPAA statement for your records, and submit the original document to Inspire Hope Counseling as instructed.
08
Note: If you have any questions or need assistance while filling out the HIPAA statement, don't hesitate to contact Inspire Hope Counseling directly for further guidance.
Who needs hipaa statementinspire hope counseling?
01
Anyone who seeks counseling services at Inspire Hope Counseling will need to fill out the HIPAA statement. This applies to both new clients and existing clients who have not yet completed the statement.
02
The HIPAA statement is a legal requirement that ensures the protection of your health information and privacy. By completing the statement, you are giving consent for Inspire Hope Counseling to use and disclose your health information appropriately as outlined in their privacy practices.
03
It is important for all individuals receiving counseling services to fill out the HIPAA statement to establish a clear understanding of how their privacy will be protected and to comply with the law.
Fill
form
: Try Risk Free
For pdfFiller’s FAQs
Below is a list of the most common customer questions. If you can’t find an answer to your question, please don’t hesitate to reach out to us.
How do I execute hipaa statementinspire hope counseling online?
pdfFiller has made it easy to fill out and sign hipaa statementinspire hope counseling. You can use the solution to change and move PDF content, add fields that can be filled in, and sign the document electronically. Start a free trial of pdfFiller, the best tool for editing and filling in documents.
Can I sign the hipaa statementinspire hope counseling electronically in Chrome?
Yes. By adding the solution to your Chrome browser, you can use pdfFiller to eSign documents and enjoy all of the features of the PDF editor in one place. Use the extension to create a legally-binding eSignature by drawing it, typing it, or uploading a picture of your handwritten signature. Whatever you choose, you will be able to eSign your hipaa statementinspire hope counseling in seconds.
Can I edit hipaa statementinspire hope counseling on an iOS device?
Create, modify, and share hipaa statementinspire hope counseling using the pdfFiller iOS app. Easy to install from the Apple Store. You may sign up for a free trial and then purchase a membership.
What is hipaa statementinspire hope counseling?
The HIPAA statement for Inspire Hope Counseling is a declaration that outlines the organization's commitment to protecting the privacy and security of patients' health information in accordance with the Health Insurance Portability and Accountability Act (HIPAA).
Who is required to file hipaa statementinspire hope counseling?
All healthcare providers, including therapists and counselors at Inspire Hope Counseling who transmit any health information electronically, are required to file the HIPAA statement.
How to fill out hipaa statementinspire hope counseling?
To fill out the HIPAA statement for Inspire Hope Counseling, individuals must provide their contact information, outline the measures taken to protect patient information, and confirm their compliance with HIPAA regulations.
What is the purpose of hipaa statementinspire hope counseling?
The purpose of the HIPAA statement for Inspire Hope Counseling is to assure patients that their confidential health information is handled securely and to comply with federal regulations aimed at protecting patient rights.
What information must be reported on hipaa statementinspire hope counseling?
The information that must be reported includes details about the privacy practices, how patient data is protected, and the rights of patients regarding their health information.
Fill out your hipaa statementinspire hope counseling online with pdfFiller!
pdfFiller is an end-to-end solution for managing, creating, and editing documents and forms in the cloud. Save time and hassle by preparing your tax forms online.
Hipaa Statementinspire Hope Counseling is not the form you're looking for?Search for another form here.
Relevant keywords
Related Forms
If you believe that this page should be taken down, please follow our DMCA take down process
here
.
This form may include fields for payment information. Data entered in these fields is not covered by PCI DSS compliance.