Get the free VSI CA Foundation Dec 2023 Mock Test with Answers Keys
Show details
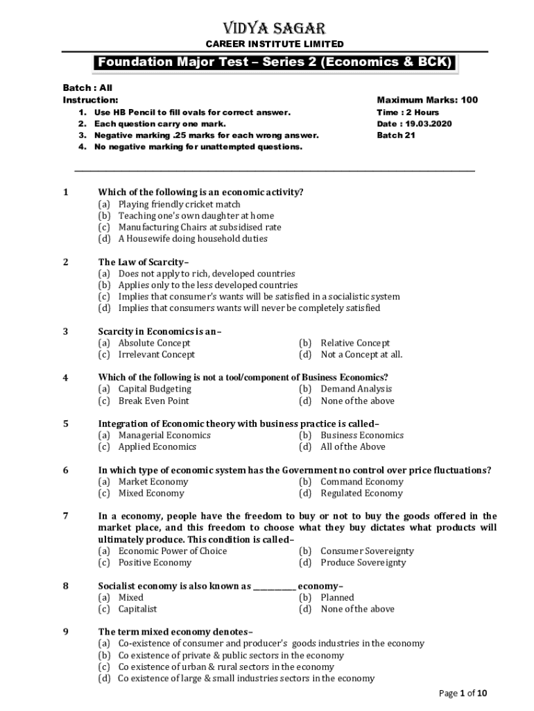
VIDYA SAGAR CAREER INSTITUTE LIMITEDFoundation Major Test Series 2 (Economics & BCK) Batch : All Instruction: 1. 2. 3. 4.Maximum Marks: 100Use HB Pencil to fill ovals for correct answer. Each question
We are not affiliated with any brand or entity on this form
Get, Create, Make and Sign vsi ca foundation dec
Edit your vsi ca foundation dec form online
Type text, complete fillable fields, insert images, highlight or blackout data for discretion, add comments, and more.
Add your legally-binding signature
Draw or type your signature, upload a signature image, or capture it with your digital camera.
Share your form instantly
Email, fax, or share your vsi ca foundation dec form via URL. You can also download, print, or export forms to your preferred cloud storage service.
How to edit vsi ca foundation dec online
To use the professional PDF editor, follow these steps:
1
Create an account. Begin by choosing Start Free Trial and, if you are a new user, establish a profile.
2
Prepare a file. Use the Add New button to start a new project. Then, using your device, upload your file to the system by importing it from internal mail, the cloud, or adding its URL.
3
Edit vsi ca foundation dec. Add and replace text, insert new objects, rearrange pages, add watermarks and page numbers, and more. Click Done when you are finished editing and go to the Documents tab to merge, split, lock or unlock the file.
4
Get your file. Select the name of your file in the docs list and choose your preferred exporting method. You can download it as a PDF, save it in another format, send it by email, or transfer it to the cloud.
pdfFiller makes working with documents easier than you could ever imagine. Register for an account and see for yourself!
Uncompromising security for your PDF editing and eSignature needs
Your private information is safe with pdfFiller. We employ end-to-end encryption, secure cloud storage, and advanced access control to protect your documents and maintain regulatory compliance.
How to fill out vsi ca foundation dec
How to fill out vsi ca foundation dec
01
Visit the official website of VSI.
02
Click on the link for CA Foundation Dec exam form.
03
Fill out the form with personal details, educational information, and choice of exam center.
04
Upload necessary documents such as photograph and signature.
05
Pay the required exam fee online.
06
Verify all the information entered and submit the form.
07
Take a printout of the form for future reference.
Who needs vsi ca foundation dec?
01
Students who are interested in pursuing a career in Chartered Accountancy.
02
Individuals who have completed their 12th standard or equivalent and are looking to appear for the CA Foundation exam.
Fill
form
: Try Risk Free
For pdfFiller’s FAQs
Below is a list of the most common customer questions. If you can’t find an answer to your question, please don’t hesitate to reach out to us.
How do I make changes in vsi ca foundation dec?
The editing procedure is simple with pdfFiller. Open your vsi ca foundation dec in the editor, which is quite user-friendly. You may use it to blackout, redact, write, and erase text, add photos, draw arrows and lines, set sticky notes and text boxes, and much more.
Can I create an eSignature for the vsi ca foundation dec in Gmail?
With pdfFiller's add-on, you may upload, type, or draw a signature in Gmail. You can eSign your vsi ca foundation dec and other papers directly in your mailbox with pdfFiller. To preserve signed papers and your personal signatures, create an account.
How do I fill out the vsi ca foundation dec form on my smartphone?
You can easily create and fill out legal forms with the help of the pdfFiller mobile app. Complete and sign vsi ca foundation dec and other documents on your mobile device using the application. Visit pdfFiller’s webpage to learn more about the functionalities of the PDF editor.
What is vsi ca foundation dec?
VSI CA Foundation DEC refers to the Declaration of Eligibility for the CA Foundation course under the Voluntary Scheme for Investment Scheme within the Chartered Accountancy framework in India.
Who is required to file vsi ca foundation dec?
Candidates who wish to enroll in the CA Foundation course and meet the eligibility criteria as specified by the Institute of Chartered Accountants of India (ICAI) are required to file VSI CA Foundation DEC.
How to fill out vsi ca foundation dec?
To fill out VSI CA Foundation DEC, candidates must provide their personal details, educational qualifications, and any other required information as specified in the form, ensuring that all information is accurate and complete.
What is the purpose of vsi ca foundation dec?
The purpose of VSI CA Foundation DEC is to confirm the eligibility of candidates wishing to pursue the CA Foundation course and to maintain the integrity of the enrollment process.
What information must be reported on vsi ca foundation dec?
The VSI CA Foundation DEC requires candidates to report personal details, academic qualifications, previous registrations, and any other relevant information as mandated by the ICAI.
Fill out your vsi ca foundation dec online with pdfFiller!
pdfFiller is an end-to-end solution for managing, creating, and editing documents and forms in the cloud. Save time and hassle by preparing your tax forms online.
Vsi Ca Foundation Dec is not the form you're looking for?Search for another form here.
Relevant keywords
Related Forms
If you believe that this page should be taken down, please follow our DMCA take down process
here
.
This form may include fields for payment information. Data entered in these fields is not covered by PCI DSS compliance.