Get the free Creating my Vision and Mission Statement
Show details
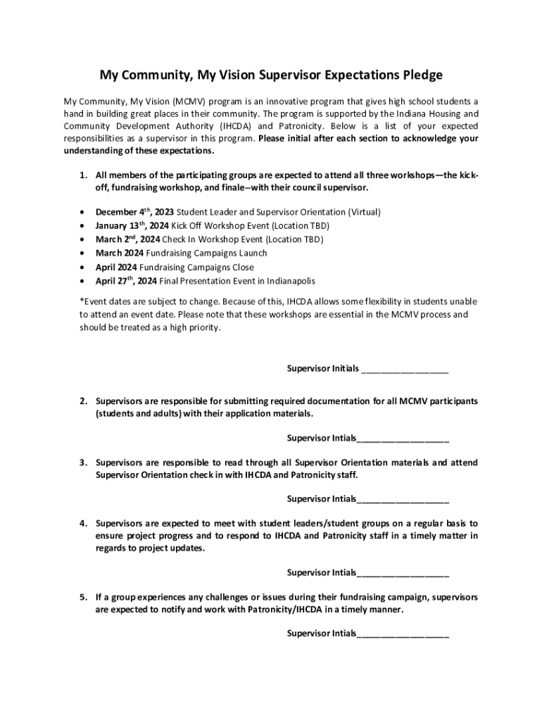
My Community, My Vision Supervisor Expectations Pledge
My Community, My Vision (CMV) program is an innovative program that gives high school students a
hand in building great places in their community.
We are not affiliated with any brand or entity on this form
Get, Create, Make and Sign creating my vision and
Edit your creating my vision and form online
Type text, complete fillable fields, insert images, highlight or blackout data for discretion, add comments, and more.
Add your legally-binding signature
Draw or type your signature, upload a signature image, or capture it with your digital camera.
Share your form instantly
Email, fax, or share your creating my vision and form via URL. You can also download, print, or export forms to your preferred cloud storage service.
How to edit creating my vision and online
To use our professional PDF editor, follow these steps:
1
Set up an account. If you are a new user, click Start Free Trial and establish a profile.
2
Upload a file. Select Add New on your Dashboard and upload a file from your device or import it from the cloud, online, or internal mail. Then click Edit.
3
Edit creating my vision and. Rearrange and rotate pages, add new and changed texts, add new objects, and use other useful tools. When you're done, click Done. You can use the Documents tab to merge, split, lock, or unlock your files.
4
Get your file. Select your file from the documents list and pick your export method. You may save it as a PDF, email it, or upload it to the cloud.
It's easier to work with documents with pdfFiller than you can have ever thought. Sign up for a free account to view.
Uncompromising security for your PDF editing and eSignature needs
Your private information is safe with pdfFiller. We employ end-to-end encryption, secure cloud storage, and advanced access control to protect your documents and maintain regulatory compliance.
How to fill out creating my vision and
How to fill out creating my vision and
01
Start by brainstorming and reflecting on what is important to you and what you want to achieve in the future.
02
Write down your goals and aspirations in a clear and concise manner.
03
Create a vision board or visual representation of your goals to help keep you motivated.
04
Break down your vision into smaller, actionable steps that you can take to make it a reality.
05
Review and revise your vision regularly to ensure it aligns with your values and priorities.
Who needs creating my vision and?
01
Anyone who wants to set and achieve meaningful goals in their personal or professional life can benefit from creating their vision.
Fill
form
: Try Risk Free
For pdfFiller’s FAQs
Below is a list of the most common customer questions. If you can’t find an answer to your question, please don’t hesitate to reach out to us.
How do I make changes in creating my vision and?
pdfFiller not only lets you change the content of your files, but you can also change the number and order of pages. Upload your creating my vision and to the editor and make any changes in a few clicks. The editor lets you black out, type, and erase text in PDFs. You can also add images, sticky notes, and text boxes, as well as many other things.
Can I create an electronic signature for signing my creating my vision and in Gmail?
With pdfFiller's add-on, you may upload, type, or draw a signature in Gmail. You can eSign your creating my vision and and other papers directly in your mailbox with pdfFiller. To preserve signed papers and your personal signatures, create an account.
Can I edit creating my vision and on an Android device?
With the pdfFiller mobile app for Android, you may make modifications to PDF files such as creating my vision and. Documents may be edited, signed, and sent directly from your mobile device. Install the app and you'll be able to manage your documents from anywhere.
What is creating my vision and?
Creating my vision and involves outlining your goals and aspirations for the future.
Who is required to file creating my vision and?
Anyone who wants to set clear goals and create a roadmap for their future can file creating my vision and.
How to fill out creating my vision and?
To fill out creating my vision and, you can start by identifying your long-term goals, breaking them down into smaller steps, and creating a plan to achieve them.
What is the purpose of creating my vision and?
The purpose of creating my vision and is to provide direction, motivation, and clarity for your future goals and aspirations.
What information must be reported on creating my vision and?
On creating my vision and, you must report specific and measurable goals, a timeline for achieving them, and actions you will take to reach them.
Fill out your creating my vision and online with pdfFiller!
pdfFiller is an end-to-end solution for managing, creating, and editing documents and forms in the cloud. Save time and hassle by preparing your tax forms online.
Creating My Vision And is not the form you're looking for?Search for another form here.
Relevant keywords
Related Forms
If you believe that this page should be taken down, please follow our DMCA take down process
here
.
This form may include fields for payment information. Data entered in these fields is not covered by PCI DSS compliance.