
Get the free Medical and Background Clearance
Show details
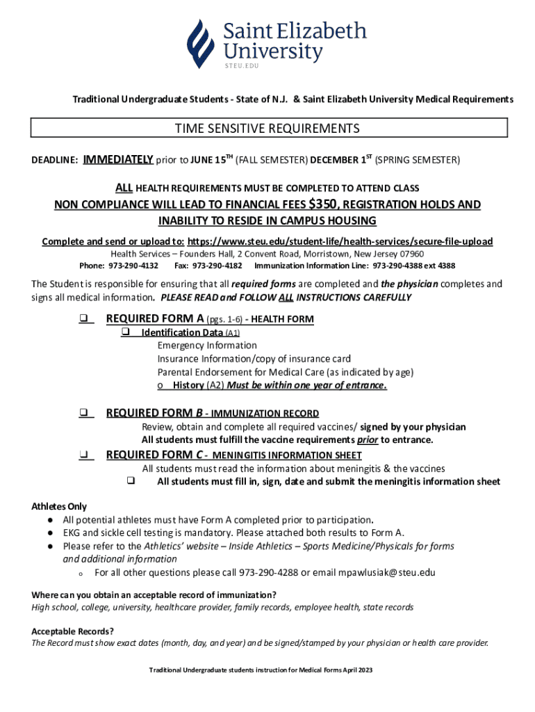
Traditional Undergraduate Students State of N.J. & Saint Elizabeth University Medical Requirements TIME SENSITIVE REQUIREMENTS DEADLINE: IMMEDIATELY prior to JUNE 15TH (FALL SEMESTER) DECEMBER 1ST
We are not affiliated with any brand or entity on this form
Get, Create, Make and Sign medical and background clearance

Edit your medical and background clearance form online
Type text, complete fillable fields, insert images, highlight or blackout data for discretion, add comments, and more.

Add your legally-binding signature
Draw or type your signature, upload a signature image, or capture it with your digital camera.

Share your form instantly
Email, fax, or share your medical and background clearance form via URL. You can also download, print, or export forms to your preferred cloud storage service.
Editing medical and background clearance online
In order to make advantage of the professional PDF editor, follow these steps below:
1
Log in. Click Start Free Trial and create a profile if necessary.
2
Upload a document. Select Add New on your Dashboard and transfer a file into the system in one of the following ways: by uploading it from your device or importing from the cloud, web, or internal mail. Then, click Start editing.
3
Edit medical and background clearance. Add and change text, add new objects, move pages, add watermarks and page numbers, and more. Then click Done when you're done editing and go to the Documents tab to merge or split the file. If you want to lock or unlock the file, click the lock or unlock button.
4
Get your file. When you find your file in the docs list, click on its name and choose how you want to save it. To get the PDF, you can save it, send an email with it, or move it to the cloud.
With pdfFiller, dealing with documents is always straightforward.
Uncompromising security for your PDF editing and eSignature needs
Your private information is safe with pdfFiller. We employ end-to-end encryption, secure cloud storage, and advanced access control to protect your documents and maintain regulatory compliance.
How to fill out medical and background clearance

How to fill out medical and background clearance
01
Obtain the necessary forms for medical and background clearance from the relevant authority or organization.
02
Fill out the forms completely and accurately, providing all requested information.
03
Attach any required documentation, such as identification or medical records, to the forms.
04
Submit the completed forms and documentation to the appropriate party for review and approval.
05
Follow up as needed to ensure that the clearance process is completed in a timely manner.
Who needs medical and background clearance?
01
Individuals applying for certain jobs or positions, such as healthcare professionals, government employees, or volunteers working with vulnerable populations, may need to undergo medical and background clearance.
Fill
form
: Try Risk Free
For pdfFiller’s FAQs
Below is a list of the most common customer questions. If you can’t find an answer to your question, please don’t hesitate to reach out to us.
How do I make changes in medical and background clearance?
pdfFiller allows you to edit not only the content of your files, but also the quantity and sequence of the pages. Upload your medical and background clearance to the editor and make adjustments in a matter of seconds. Text in PDFs may be blacked out, typed in, and erased using the editor. You may also include photos, sticky notes, and text boxes, among other things.
How do I make edits in medical and background clearance without leaving Chrome?
Get and add pdfFiller Google Chrome Extension to your browser to edit, fill out and eSign your medical and background clearance, which you can open in the editor directly from a Google search page in just one click. Execute your fillable documents from any internet-connected device without leaving Chrome.
How do I edit medical and background clearance on an Android device?
You can edit, sign, and distribute medical and background clearance on your mobile device from anywhere using the pdfFiller mobile app for Android; all you need is an internet connection. Download the app and begin streamlining your document workflow from anywhere.
What is medical and background clearance?
Medical and background clearance refers to the process of verifying an individual's health status and criminal history to ensure they are fit for a particular role, especially in sensitive environments such as healthcare, education, and public service.
Who is required to file medical and background clearance?
Individuals applying for specific jobs, licenses, or certifications in sectors like healthcare, education, and government are generally required to file for medical and background clearance.
How to fill out medical and background clearance?
To fill out medical and background clearance, individuals typically need to complete a form that includes personal information, health history, and consent for background checks, and submit it to the relevant authority or employer.
What is the purpose of medical and background clearance?
The purpose of medical and background clearance is to assess whether an individual poses any health risks or has a criminal background that could affect their suitability for a specific position, thereby ensuring safety and compliance with regulations.
What information must be reported on medical and background clearance?
Information that must be reported includes personal identification details, medical history, and results of any background checks, including criminal records and past employment verification.
Fill out your medical and background clearance online with pdfFiller!
pdfFiller is an end-to-end solution for managing, creating, and editing documents and forms in the cloud. Save time and hassle by preparing your tax forms online.

Medical And Background Clearance is not the form you're looking for?Search for another form here.
Relevant keywords
Related Forms
If you believe that this page should be taken down, please follow our DMCA take down process
here
.
This form may include fields for payment information. Data entered in these fields is not covered by PCI DSS compliance.