Get the free Compassion Pediatrics Behavioral Health Services
Show details
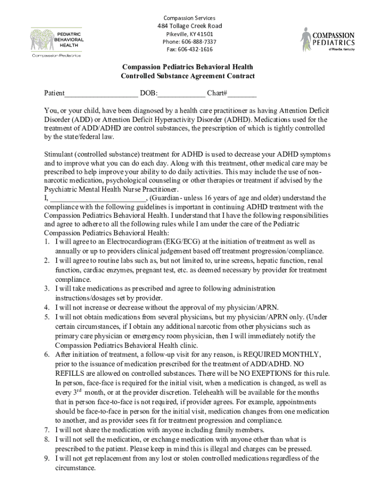
Compassion Services484 Tollage Creek Road Pikeville, KY 41501 Phone: 6068887337 Fax: 6064321616Compassion Pediatrics Behavioral Health Controlled Substance Agreement Contract Patient___ DOB:___ Chart#___
We are not affiliated with any brand or entity on this form
Get, Create, Make and Sign compassion pediatrics behavioral health
Edit your compassion pediatrics behavioral health form online
Type text, complete fillable fields, insert images, highlight or blackout data for discretion, add comments, and more.
Add your legally-binding signature
Draw or type your signature, upload a signature image, or capture it with your digital camera.
Share your form instantly
Email, fax, or share your compassion pediatrics behavioral health form via URL. You can also download, print, or export forms to your preferred cloud storage service.
Editing compassion pediatrics behavioral health online
Use the instructions below to start using our professional PDF editor:
1
Create an account. Begin by choosing Start Free Trial and, if you are a new user, establish a profile.
2
Upload a file. Select Add New on your Dashboard and upload a file from your device or import it from the cloud, online, or internal mail. Then click Edit.
3
Edit compassion pediatrics behavioral health. Rearrange and rotate pages, insert new and alter existing texts, add new objects, and take advantage of other helpful tools. Click Done to apply changes and return to your Dashboard. Go to the Documents tab to access merging, splitting, locking, or unlocking functions.
4
Save your file. Select it from your list of records. Then, move your cursor to the right toolbar and choose one of the exporting options. You can save it in multiple formats, download it as a PDF, send it by email, or store it in the cloud, among other things.
It's easier to work with documents with pdfFiller than you could have ever thought. You may try it out for yourself by signing up for an account.
Uncompromising security for your PDF editing and eSignature needs
Your private information is safe with pdfFiller. We employ end-to-end encryption, secure cloud storage, and advanced access control to protect your documents and maintain regulatory compliance.
How to fill out compassion pediatrics behavioral health
How to fill out compassion pediatrics behavioral health
01
Contact compassion pediatrics behavioral health to schedule an appointment
02
Arrive at the scheduled appointment with any necessary paperwork or documentation
03
Meet with a provider to discuss behavioral health concerns and goals
04
Participate in any recommended treatments or therapy sessions
05
Follow up with the provider as needed to monitor progress
Who needs compassion pediatrics behavioral health?
01
Children and adolescents experiencing behavioral health challenges
02
Parents or caregivers seeking support for a child's behavioral health needs
03
Individuals looking for compassionate and comprehensive behavioral health services
Fill
form
: Try Risk Free
For pdfFiller’s FAQs
Below is a list of the most common customer questions. If you can’t find an answer to your question, please don’t hesitate to reach out to us.
How do I complete compassion pediatrics behavioral health online?
Completing and signing compassion pediatrics behavioral health online is easy with pdfFiller. It enables you to edit original PDF content, highlight, blackout, erase and type text anywhere on a page, legally eSign your form, and much more. Create your free account and manage professional documents on the web.
How can I edit compassion pediatrics behavioral health on a smartphone?
The easiest way to edit documents on a mobile device is using pdfFiller’s mobile-native apps for iOS and Android. You can download those from the Apple Store and Google Play, respectively. You can learn more about the apps here. Install and log in to the application to start editing compassion pediatrics behavioral health.
Can I edit compassion pediatrics behavioral health on an Android device?
With the pdfFiller mobile app for Android, you may make modifications to PDF files such as compassion pediatrics behavioral health. Documents may be edited, signed, and sent directly from your mobile device. Install the app and you'll be able to manage your documents from anywhere.
What is compassion pediatrics behavioral health?
Compassion pediatrics behavioral health provides mental health services specifically for children and adolescents.
Who is required to file compassion pediatrics behavioral health?
Healthcare providers, therapists, counselors, and any medical professionals working with children may be required to file compassion pediatrics behavioral health.
How to fill out compassion pediatrics behavioral health?
Compassion pediatrics behavioral health forms can be filled out online or submitted in-person at the healthcare facility providing the services.
What is the purpose of compassion pediatrics behavioral health?
The purpose of compassion pediatrics behavioral health is to address and treat mental health issues in children and adolescents.
What information must be reported on compassion pediatrics behavioral health?
Information such as patient demographics, medical history, diagnosis, treatment plan, and progress notes must be reported on compassion pediatrics behavioral health forms.
Fill out your compassion pediatrics behavioral health online with pdfFiller!
pdfFiller is an end-to-end solution for managing, creating, and editing documents and forms in the cloud. Save time and hassle by preparing your tax forms online.
Compassion Pediatrics Behavioral Health is not the form you're looking for?Search for another form here.
Relevant keywords
Related Forms
If you believe that this page should be taken down, please follow our DMCA take down process
here
.
This form may include fields for payment information. Data entered in these fields is not covered by PCI DSS compliance.