Get the free Contract to Purchase at Online Auction
Show details
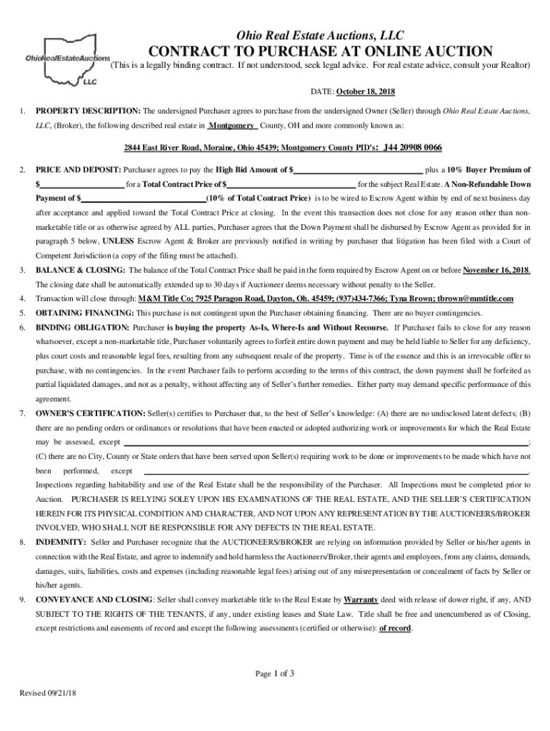
This document is a legally binding contract for the purchase of real estate located at 2844 East River Road, Moraine, Ohio, through an online auction conducted by Ohio Real Estate Auctions, LLC. It outlines the terms of purchase, including price, deposit, closing details, and the responsibilities of both purchaser and seller.
We are not affiliated with any brand or entity on this form
Get, Create, Make and Sign contract to purchase at
Edit your contract to purchase at form online
Type text, complete fillable fields, insert images, highlight or blackout data for discretion, add comments, and more.
Add your legally-binding signature
Draw or type your signature, upload a signature image, or capture it with your digital camera.
Share your form instantly
Email, fax, or share your contract to purchase at form via URL. You can also download, print, or export forms to your preferred cloud storage service.
How to edit contract to purchase at online
In order to make advantage of the professional PDF editor, follow these steps below:
1
Set up an account. If you are a new user, click Start Free Trial and establish a profile.
2
Prepare a file. Use the Add New button. Then upload your file to the system from your device, importing it from internal mail, the cloud, or by adding its URL.
3
Edit contract to purchase at. Add and change text, add new objects, move pages, add watermarks and page numbers, and more. Then click Done when you're done editing and go to the Documents tab to merge or split the file. If you want to lock or unlock the file, click the lock or unlock button.
4
Get your file. Select your file from the documents list and pick your export method. You may save it as a PDF, email it, or upload it to the cloud.
With pdfFiller, it's always easy to deal with documents.
Uncompromising security for your PDF editing and eSignature needs
Your private information is safe with pdfFiller. We employ end-to-end encryption, secure cloud storage, and advanced access control to protect your documents and maintain regulatory compliance.
How to fill out contract to purchase at
How to fill out contract to purchase at
01
Begin by reading the entire contract carefully.
02
Fill in the buyer's and seller's names and contact information.
03
Specify the property address and legal description.
04
Include the purchase price and any initial deposit information.
05
Outline the closing date and any contingencies (like financing or inspections).
06
Add any additional terms or conditions agreed upon by both parties.
07
Ensure all parties sign and date the contract.
Who needs contract to purchase at?
01
Individuals looking to purchase real estate.
02
Real estate agents and brokers facilitating transactions.
03
Investors acquiring properties.
04
Banks or financial institutions involved in financing.
Fill
form
: Try Risk Free
For pdfFiller’s FAQs
Below is a list of the most common customer questions. If you can’t find an answer to your question, please don’t hesitate to reach out to us.
Can I create an electronic signature for the contract to purchase at in Chrome?
Yes. You can use pdfFiller to sign documents and use all of the features of the PDF editor in one place if you add this solution to Chrome. In order to use the extension, you can draw or write an electronic signature. You can also upload a picture of your handwritten signature. There is no need to worry about how long it takes to sign your contract to purchase at.
How do I fill out contract to purchase at using my mobile device?
Use the pdfFiller mobile app to fill out and sign contract to purchase at on your phone or tablet. Visit our website to learn more about our mobile apps, how they work, and how to get started.
How do I edit contract to purchase at on an iOS device?
Create, edit, and share contract to purchase at from your iOS smartphone with the pdfFiller mobile app. Installing it from the Apple Store takes only a few seconds. You may take advantage of a free trial and select a subscription that meets your needs.
What is contract to purchase at?
A contract to purchase at is a legal agreement between a buyer and seller outlining the terms of a real estate transaction, including the purchase price and conditions of sale.
Who is required to file contract to purchase at?
Typically, the buyer or their representative is required to file the contract to purchase at with the relevant authorities or local government.
How to fill out contract to purchase at?
To fill out a contract to purchase at, one should provide necessary details such as buyer and seller information, property description, purchase price, terms, and any contingencies.
What is the purpose of contract to purchase at?
The purpose of the contract to purchase at is to formalize the agreement between the buyer and seller, ensuring that both parties understand their obligations and the terms of the sale.
What information must be reported on contract to purchase at?
The contract to purchase at must report information such as the names and addresses of the buyer and seller, the property address, the purchase price, and any terms or conditions of the sale.
Fill out your contract to purchase at online with pdfFiller!
pdfFiller is an end-to-end solution for managing, creating, and editing documents and forms in the cloud. Save time and hassle by preparing your tax forms online.
Contract To Purchase At is not the form you're looking for?Search for another form here.
Relevant keywords
Related Forms
If you believe that this page should be taken down, please follow our DMCA take down process
here
.
This form may include fields for payment information. Data entered in these fields is not covered by PCI DSS compliance.