Get the free Pta Program Application Checklist
Show details
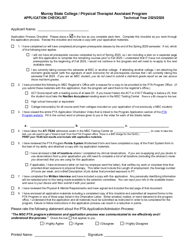
This document serves as an application checklist for prospective students applying to the Physical Therapist Assistant Program at Murray State College for the technical year 2025/2026. It outlines the necessary prerequisites, required documents, and steps to complete the application process effectively.
We are not affiliated with any brand or entity on this form
Get, Create, Make and Sign pta program application checklist
Edit your pta program application checklist form online
Type text, complete fillable fields, insert images, highlight or blackout data for discretion, add comments, and more.
Add your legally-binding signature
Draw or type your signature, upload a signature image, or capture it with your digital camera.
Share your form instantly
Email, fax, or share your pta program application checklist form via URL. You can also download, print, or export forms to your preferred cloud storage service.
Editing pta program application checklist online
Follow the guidelines below to use a professional PDF editor:
1
Check your account. In case you're new, it's time to start your free trial.
2
Simply add a document. Select Add New from your Dashboard and import a file into the system by uploading it from your device or importing it via the cloud, online, or internal mail. Then click Begin editing.
3
Edit pta program application checklist. Replace text, adding objects, rearranging pages, and more. Then select the Documents tab to combine, divide, lock or unlock the file.
4
Save your file. Select it from your list of records. Then, move your cursor to the right toolbar and choose one of the exporting options. You can save it in multiple formats, download it as a PDF, send it by email, or store it in the cloud, among other things.
With pdfFiller, dealing with documents is always straightforward.
Uncompromising security for your PDF editing and eSignature needs
Your private information is safe with pdfFiller. We employ end-to-end encryption, secure cloud storage, and advanced access control to protect your documents and maintain regulatory compliance.
How to fill out pta program application checklist
How to fill out pta program application checklist
01
Read the PTA Program Application Checklist thoroughly.
02
Gather all required documents, including transcripts, recommendation letters, and personal statements.
03
Complete the application form, ensuring all personal information is accurate.
04
Review the checklist to ensure all sections are filled out correctly.
05
Double-check for any additional requirements specific to the PTA program.
06
Submit the application checklist and all supporting documents by the given deadline.
Who needs pta program application checklist?
01
Prospective students applying to the Physical Therapist Assistant (PTA) program.
02
Educational institutions offering PTA programs to ensure applicants provide necessary documentation.
03
Admissions committees reviewing applications at PTA programs.
Fill
form
: Try Risk Free
For pdfFiller’s FAQs
Below is a list of the most common customer questions. If you can’t find an answer to your question, please don’t hesitate to reach out to us.
How can I edit pta program application checklist from Google Drive?
You can quickly improve your document management and form preparation by integrating pdfFiller with Google Docs so that you can create, edit and sign documents directly from your Google Drive. The add-on enables you to transform your pta program application checklist into a dynamic fillable form that you can manage and eSign from any internet-connected device.
How do I fill out pta program application checklist using my mobile device?
The pdfFiller mobile app makes it simple to design and fill out legal paperwork. Complete and sign pta program application checklist and other papers using the app. Visit pdfFiller's website to learn more about the PDF editor's features.
How do I edit pta program application checklist on an iOS device?
No, you can't. With the pdfFiller app for iOS, you can edit, share, and sign pta program application checklist right away. At the Apple Store, you can buy and install it in a matter of seconds. The app is free, but you will need to set up an account if you want to buy a subscription or start a free trial.
What is pta program application checklist?
The PTA program application checklist is a necessary document that outlines all required items and information needed for successfully applying to the PTA program.
Who is required to file pta program application checklist?
Individuals applying for admission into a PTA program are required to file the PTA program application checklist.
How to fill out pta program application checklist?
To fill out the PTA program application checklist, applicants should carefully review the list of required documents and information, ensuring that each item is completed accurately and submitted in accordance with any specified guidelines.
What is the purpose of pta program application checklist?
The purpose of the PTA program application checklist is to ensure that all necessary information and documents are gathered and submitted, facilitating a smooth and complete application process.
What information must be reported on pta program application checklist?
The PTA program application checklist typically requires personal information, educational history, prerequisite course completion, letter of recommendation, and any relevant certifications or experiences.
Fill out your pta program application checklist online with pdfFiller!
pdfFiller is an end-to-end solution for managing, creating, and editing documents and forms in the cloud. Save time and hassle by preparing your tax forms online.
Pta Program Application Checklist is not the form you're looking for?Search for another form here.
Relevant keywords
Related Forms
If you believe that this page should be taken down, please follow our DMCA take down process
here
.
This form may include fields for payment information. Data entered in these fields is not covered by PCI DSS compliance.