Get the free Job Announcement # 24-046 - mil wa
Show details
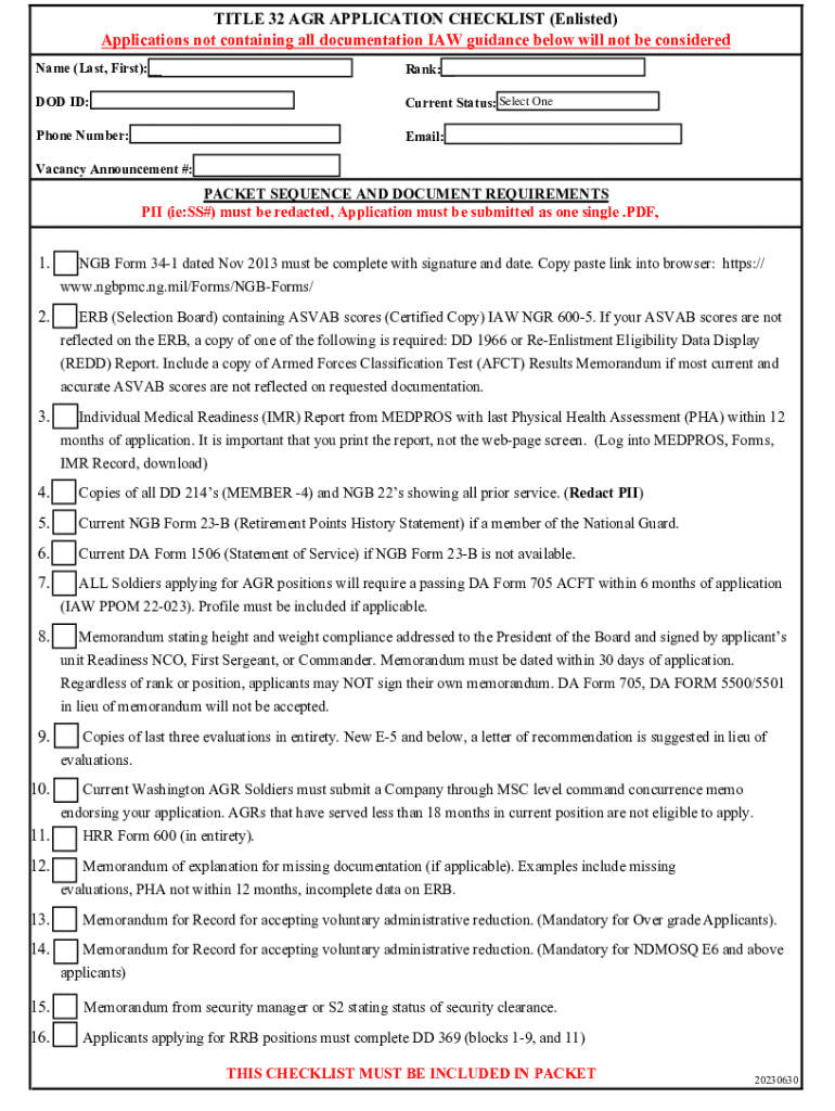
WASHINGTON ARMY NATIONAL GUARD J1Human Resources Office Active Guard Reserve (AGR) Announcement Job Announcement # 24046OPENING DATE: 4 April 2024CLOSING DATE: 4 May 2024VACANCY ANNOUNCEMENT: STATEWIDE
We are not affiliated with any brand or entity on this form
Get, Create, Make and Sign job announcement 24-046
Edit your job announcement 24-046 form online
Type text, complete fillable fields, insert images, highlight or blackout data for discretion, add comments, and more.
Add your legally-binding signature
Draw or type your signature, upload a signature image, or capture it with your digital camera.
Share your form instantly
Email, fax, or share your job announcement 24-046 form via URL. You can also download, print, or export forms to your preferred cloud storage service.
How to edit job announcement 24-046 online
To use the professional PDF editor, follow these steps:
1
Set up an account. If you are a new user, click Start Free Trial and establish a profile.
2
Prepare a file. Use the Add New button. Then upload your file to the system from your device, importing it from internal mail, the cloud, or by adding its URL.
3
Edit job announcement 24-046. Add and replace text, insert new objects, rearrange pages, add watermarks and page numbers, and more. Click Done when you are finished editing and go to the Documents tab to merge, split, lock or unlock the file.
4
Save your file. Select it from your records list. Then, click the right toolbar and select one of the various exporting options: save in numerous formats, download as PDF, email, or cloud.
The use of pdfFiller makes dealing with documents straightforward. Now is the time to try it!
Uncompromising security for your PDF editing and eSignature needs
Your private information is safe with pdfFiller. We employ end-to-end encryption, secure cloud storage, and advanced access control to protect your documents and maintain regulatory compliance.
How to fill out job announcement 24-046
How to fill out job announcement 24-046
01
Read the job announcement carefully to understand the position's requirements.
02
Gather all necessary documents such as your resume, cover letter, and any required certifications.
03
Fill out the application form completely, ensuring all personal information is accurate.
04
Provide detailed information on your work experience, emphasizing relevant skills and accomplishments.
05
Tailor your cover letter to the specific job, highlighting why you are a good fit for the position.
06
Review your application for any errors or missing information before submission.
07
Submit the application according to the provided instructions, ensuring it is sent before the deadline.
Who needs job announcement 24-046?
01
Individuals seeking employment in the specific position advertised in job announcement 24-046.
02
Job seekers looking for opportunities in the organization or department related to the announcement.
03
Human Resource personnel or recruitment agencies assisting candidates with the application process.
Fill
form
: Try Risk Free
For pdfFiller’s FAQs
Below is a list of the most common customer questions. If you can’t find an answer to your question, please don’t hesitate to reach out to us.
Can I sign the job announcement 24-046 electronically in Chrome?
As a PDF editor and form builder, pdfFiller has a lot of features. It also has a powerful e-signature tool that you can add to your Chrome browser. With our extension, you can type, draw, or take a picture of your signature with your webcam to make your legally-binding eSignature. Choose how you want to sign your job announcement 24-046 and you'll be done in minutes.
How do I complete job announcement 24-046 on an iOS device?
Install the pdfFiller app on your iOS device to fill out papers. Create an account or log in if you already have one. After registering, upload your job announcement 24-046. You may now use pdfFiller's advanced features like adding fillable fields and eSigning documents from any device, anywhere.
How do I edit job announcement 24-046 on an Android device?
You can make any changes to PDF files, such as job announcement 24-046, with the help of the pdfFiller mobile app for Android. Edit, sign, and send documents right from your mobile device. Install the app and streamline your document management wherever you are.
What is job announcement 24-046?
Job announcement 24-046 pertains to a specific job listing or opening that outlines the role, requirements, and application process for prospective candidates.
Who is required to file job announcement 24-046?
Individuals or entities looking to hire for the position specified in job announcement 24-046 are required to file it.
How to fill out job announcement 24-046?
To fill out job announcement 24-046, applicants must provide necessary information including the job title, description, qualifications, compensation, and application instructions.
What is the purpose of job announcement 24-046?
The purpose of job announcement 24-046 is to inform potential candidates about the job opportunity and to facilitate the recruitment process.
What information must be reported on job announcement 24-046?
The information that must be reported includes the job title, responsibilities, qualifications, application deadline, salary range, and contact information for inquiries.
Fill out your job announcement 24-046 online with pdfFiller!
pdfFiller is an end-to-end solution for managing, creating, and editing documents and forms in the cloud. Save time and hassle by preparing your tax forms online.
Job Announcement 24-046 is not the form you're looking for?Search for another form here.
Relevant keywords
Related Forms
If you believe that this page should be taken down, please follow our DMCA take down process
here
.
This form may include fields for payment information. Data entered in these fields is not covered by PCI DSS compliance.