Form preview

Get the free Form 12b-25

Get Form
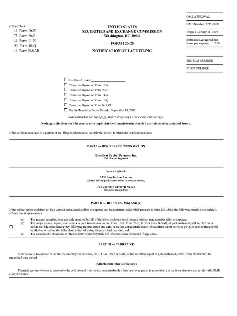
This document is a notification to the Securities and Exchange Commission regarding the late filing of Form 10-Q for Broadleaf Capital Partners, Inc. It outlines the company\'s inability to complete accounting records in time for the required filing and provides necessary contact information.
We are not affiliated with any brand or entity on this form

Get, Create, Make and Sign form 12b-25

Edit
Edit your form 12b-25 form online
Type text, complete fillable fields, insert images, highlight or blackout data for discretion, add comments, and more.
Add
Add your legally-binding signature
Draw or type your signature, upload a signature image, or capture it with your digital camera.
Share
Share your form instantly
Email, fax, or share your form 12b-25 form via URL. You can also download, print, or export forms to your preferred cloud storage service.

How to edit form 12b-25 online

9.5
Ease of Setup
pdfFiller User Ratings on G2
9.0
Ease of Use
pdfFiller User Ratings on G2
Here are the steps you need to follow to get started with our professional PDF editor:
1
Set up an account. If you are a new user, click Start Free Trial and establish a profile.
2
Prepare a file. Use the Add New button to start a new project. Then, using your device, upload your file to the system by importing it from internal mail, the cloud, or adding its URL.
3
Edit form 12b-25. Add and change text, add new objects, move pages, add watermarks and page numbers, and more. Then click Done when you're done editing and go to the Documents tab to merge or split the file. If you want to lock or unlock the file, click the lock or unlock button.
4
Save your file. Select it from your records list. Then, click the right toolbar and select one of the various exporting options: save in numerous formats, download as PDF, email, or cloud.
With pdfFiller, it's always easy to work with documents.

Uncompromising security for your PDF editing and eSignature needs

Your private information is safe with pdfFiller. We employ end-to-end encryption, secure cloud storage, and advanced access control to protect your documents and maintain regulatory compliance.
GDPR
AICPA SOC 2
PCI
HIPAA
CCPA
FDA
Fill form : Try Risk Free
Users Most Likely To Recommend - Summer 2025
Grid Leader in Small-Business - Summer 2025
High Performer - Summer 2025
Regional Leader - Summer 2025
Easiest To Do Business With - Summer 2025
Best Meets Requirements- Summer 2025
Rate the form
4.3
Satisfied
32 Votes

For pdfFiller’s FAQs

Below is a list of the most common customer questions. If you can’t find an answer to your question, please don’t hesitate to reach out to us.

Once you are ready to share your form 12b-25, you can easily send it to others and get the eSigned document back just as quickly. Share your PDF by email, fax, text message, or USPS mail, or notarize it online. You can do all of this without ever leaving your account.
The pdfFiller mobile applications for iOS and Android are the easiest way to edit documents on the go. You may get them from the Apple Store and Google Play. More info about the applications here. Install and log in to edit form 12b-25.
Create, edit, and share form 12b-25 from your iOS smartphone with the pdfFiller mobile app. Installing it from the Apple Store takes only a few seconds. You may take advantage of a free trial and select a subscription that meets your needs.
Form 12b-25 is a notification of late filing for certain reports that public companies are required to submit to the Securities and Exchange Commission (SEC). It allows an extension for filing certain required documents.
Public companies that are unable to file their required reports on time, including annual reports (Form 10-K) and quarterly reports (Form 10-Q), must file Form 12b-25.
To fill out Form 12b-25, companies need to provide their name, the type of report, the period covered by the report, the reason for the late filing, and any additional information required by the SEC.
The purpose of Form 12b-25 is to provide official notice to the SEC that a company will be unable to meet the deadline for filing its periodic reports, and to request an extension for the filing.
Form 12b-25 must include the company's name, the exact name of the report, the period covered, the reason for the delay, and statements regarding whether the registrant expects to file within the 15-day extension period.
Fill out your form 12b-25 online with pdfFiller!

pdfFiller is an end-to-end solution for managing, creating, and editing documents and forms in the cloud. Save time and hassle by preparing your tax forms online.

Get started now
Form preview
If you believe that this page should be taken down, please follow our DMCA take down process here .
This form may include fields for payment information. Data entered in these fields is not covered by PCI DSS compliance.