Form preview

Get the free Coversheet for Dmh and Ddsn Evaluation Orders

Get Form
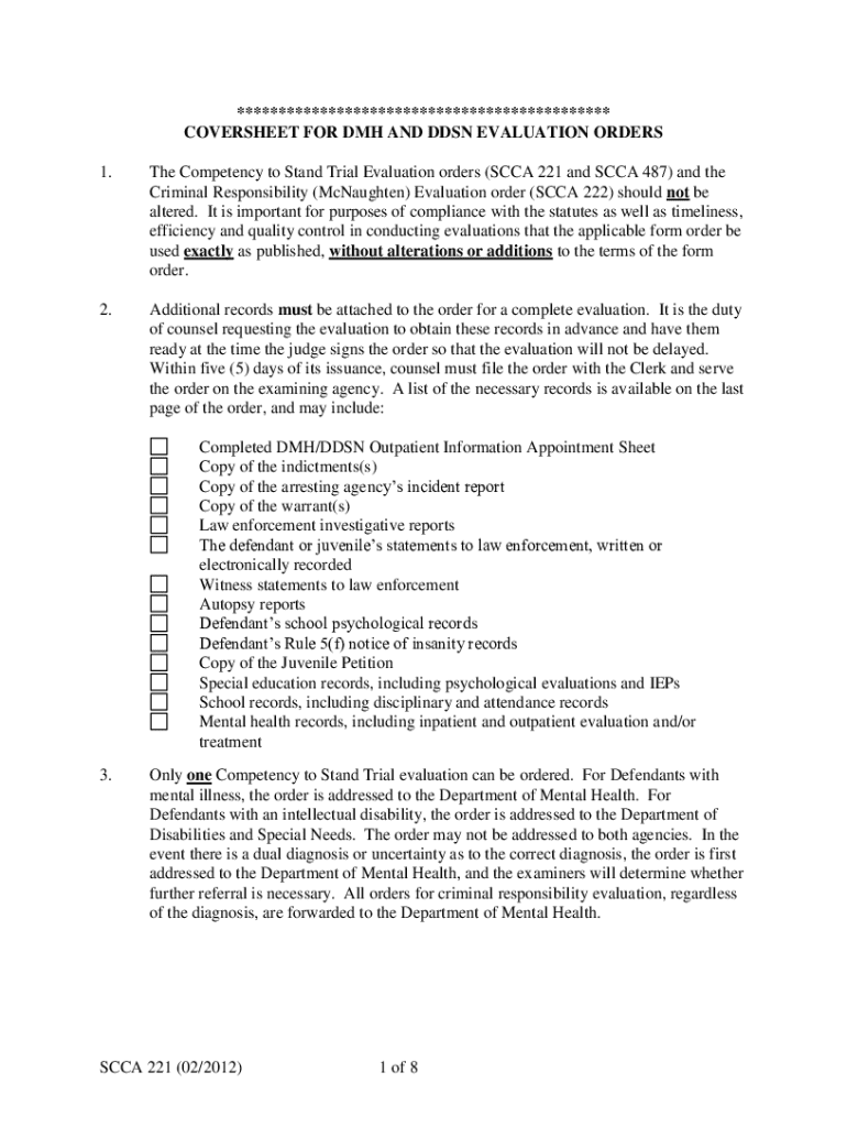
This document outlines the procedures and requirements for evaluating a defendant\'s competency to stand trial, including necessary records, agency responsibilities, and compliance guidelines.
We are not affiliated with any brand or entity on this form

Get, Create, Make and Sign coversheet for dmh and

Edit
Edit your coversheet for dmh and form online
Type text, complete fillable fields, insert images, highlight or blackout data for discretion, add comments, and more.
Add
Add your legally-binding signature
Draw or type your signature, upload a signature image, or capture it with your digital camera.
Share
Share your form instantly
Email, fax, or share your coversheet for dmh and form via URL. You can also download, print, or export forms to your preferred cloud storage service.

Editing coversheet for dmh and online

9.5
Ease of Setup
pdfFiller User Ratings on G2
9.0
Ease of Use
pdfFiller User Ratings on G2
Use the instructions below to start using our professional PDF editor:
1
Create an account. Begin by choosing Start Free Trial and, if you are a new user, establish a profile.
2
Prepare a file. Use the Add New button to start a new project. Then, using your device, upload your file to the system by importing it from internal mail, the cloud, or adding its URL.
3
Edit coversheet for dmh and. Rearrange and rotate pages, add and edit text, and use additional tools. To save changes and return to your Dashboard, click Done. The Documents tab allows you to merge, divide, lock, or unlock files.
4
Get your file. When you find your file in the docs list, click on its name and choose how you want to save it. To get the PDF, you can save it, send an email with it, or move it to the cloud.
pdfFiller makes dealing with documents a breeze. Create an account to find out!

Uncompromising security for your PDF editing and eSignature needs

Your private information is safe with pdfFiller. We employ end-to-end encryption, secure cloud storage, and advanced access control to protect your documents and maintain regulatory compliance.
GDPR
AICPA SOC 2
PCI
HIPAA
CCPA
FDA

How to fill out coversheet for dmh and

Illustration

How to fill out coversheet for dmh and

01
Start with the header section including client name, date, and identification number.
02
Fill in the provider information, including name, address, and contact details.
03
Indicate the type of service being requested or provided.
04
Provide any relevant case details about the client's history or situation.
05
Include any additional forms or supportive documents that are required.
06
Review the coversheet for completeness and accuracy before submission.
07
Submit the coversheet to the appropriate department or individual as per the guidelines.

Who needs coversheet for dmh and?

01
Clients seeking mental health services.
02
Providers or professionals submitting service requests.
03
Administrative staff processing documentation for mental health services.
04
Any stakeholders involved in the care or assessment of the client.

Coversheet for DMH and Form: A Comprehensive Guide

Overview of DMH coversheet

The DMH coversheet serves as an essential preliminary document within the realm of mental health services. It functions as a summary of important client and service information that streamlines communication and enhances the organization of case files. The coversheet encapsulates critical data necessary for effective case management, ensuring that all relevant details are readily accessible to all stakeholders involved.

Its importance in document management cannot be overstated, as it sets the tone for how other forms and documentation are processed and utilized in mental health facilities. A properly filled DMH coversheet helps in maintaining compliance with industry regulations, improves billing practices, and ensures that client care information is both organized and easy to transport across services.

Provides an overview of client demographics and treatment needs.
Facilitates communication among healthcare providers.
Ensures compliance with mental health documentation standards.

Understanding the DMH coversheet

Understanding the composition of the DMH coversheet is key to ensuring accuracy and compliance. The coversheet is typically divided into distinct sections that capture essential information about the client and the services being provided. Each component plays a role in the overall understanding of the client's needs and service plans.

The primary components of the coversheet include: Title and identification information, where the document is tagged with identifying numbers and the specific case details; a client information section, which compiles demographics, contact information, and medical history; and service details, which outline the types of services being provided, including treatment objectives and service timelines. Additionally, every DMH coversheet requires essential signatures and approvals that validate the information, making it an official document that can be relied upon for clinical and billing purposes.

Title and identification information for tracking.
Client information section reflecting demographics.
Service details that outline what is being offered.
Signatures for verification and approval.

Steps to create a DMH coversheet

Creating a DMH coversheet can be streamlined by following a step-by-step process. Understanding how to gather the required information, access templates, and accurately fill out the coversheet is crucial for anyone tasked with this responsibility.

Step 1 involves gathering required information. This means compiling essential data like the client's full name, contact information, and insurance details from specific sources, including client intake forms and clinical notes. Step 2 includes accessing the coversheet template from pdfFiller, which allows users to navigate to the document library easily. Step 3 requires filling out the coversheet thoroughly, emphasizing accuracy and completeness to avoid issues down the line. Finally, Step 4 involves reviewing the completed coversheet by employing a checklist that ensures all necessary fields are filled out and signatures are collected.

Gather essential data, including client details and service information.
Access the coversheet template from pdfFiller.
Fill out the coversheet with a focus on accuracy.
Review the completed coversheet using a detailed checklist.

Interactive tools for DMH coversheet management

pdfFiller provides users with interactive tools to enhance the management of DMH coversheets efficiently. Utilizing these editing features aids in personalizing documents to fit specific needs. Users can add or remove fields as necessary, ensuring that all relevant client information is captured succinctly.

Text editing and formatting tools are also available, which assist in aligning the coversheet with organizational standards. Moreover, securely eSigning is a crucial feature, allowing stakeholders to sign the DMH coversheet electronically, thus expediting the approval process. Collaboration tools enable team members to work together, providing feedback and making necessary changes in real-time, all within the cloud-based platform, ensuring users can manage documents from anywhere.

Add and remove fields to customize the coversheet.
Utilize text editing for formatting compliance.
Implement electronic signature solutions for secure signing.
Use collaboration tools for efficient team interaction.

Common mistakes to avoid when filling out the DMH coversheet

Filling out the DMH coversheet requires attention to detail, and common mistakes can undermine its effectiveness. One primary issue is the inclusion of incomplete information, which can lead to misunderstandings or compliance issues. It's vital that all requested fields are accurately filled to ensure that the format adheres to regulatory standards.

Another frequent error is the omission of necessary signatures. These signatures are crucial for the validity of the document and must be obtained from the appropriate parties before submission. Additionally, errors in data entry, such as typographical mistakes or incorrect information, can cause significant delays or issues in processing. Thus, focusing on thoroughness and double-checking each section before completion is key.

Ensure all information is complete to avoid misunderstandings.
Collect all necessary signatures required for validation.
Double-check data entries to minimize errors.

Best practices for managing DMH coversheets

To effectively manage DMH coversheets, adopting best practices is essential. Organizing documents meticulously can drastically improve case management efficiency. Using pdfFiller's folder and file management strategies, users can create an organized structure for their documents — ensuring that each coversheet is easily retrievable and linked with other relevant client documents.

Furthermore, it is critical to ensure compliance with mental health regulations. Regularly reviewing documentation practices and keeping abreast of any changes in legislation ensures that your organization remains on the right side of the law. Additionally, conducting training sessions for staff about the importance of accurate documentation can result in higher-quality coversheets and improved service delivery.

Organize your documents using effective file management strategies.
Ensure compliance with current mental health regulations.
Conduct regular training for staff on documentation best practices.

Frequently asked questions (FAQs) about DMH coversheet and form

Understanding the DMH coversheet process often comes with questions. For instance, if a coversheet gets misplaced, the best initial action is to reach out to the office or team responsible for document management to request a copy or the original. Another common query is how often this coversheet should be updated — typically, every time there’s a significant change in client information or treatment plans, the coversheet should be reviewed and revised accordingly.

Lastly, for those needing additional assistance or support, many mental health organizations offer training sessions or guides on document management practices, which can be invaluable. Always keep abreast of additional resources available in your organization to ensure proper protocol is followed for managing DMH coversheets.

What to do if a DMH coversheet is misplaced: contact document management.
Update the coversheet whenever there is a significant change in client information.
Seek additional assistance through organizational training sessions.

Related forms and documents

The DMH coversheet is only one piece of a larger puzzle when it comes to clinical documentation. There are various forms associated with DMA, each serving unique purposes such as clinical assessment forms, treatment plans, and progress notes. Understanding how these documents relate to the DMH coversheet is essential for cohesive case management.

Accessing related templates on pdfFiller can streamline the process of gathering all necessary documentation. The platform allows users to find and utilize related forms efficiently, enhancing the integration and flow of information across different forms, ultimately contributing to better client outcomes.

Familiarize with clinical assessment forms associated with DMH.
Understand treatment plans and their relationship with the coversheet.
Access additional templates through pdfFiller for complete documentation.

Feedback and continuous improvement

Collecting and analyzing user feedback is critical in refining document processes. Engaging users in discussions about their experiences can shed light on areas for improvement within the DMH coversheet process. pdfFiller encourages users to provide feedback that can directly influence enhancements to forms and functionalities.

Integrating improvements based on user input not only enables the creation of more user-friendly documents but also assists in evolving with ongoing changes in documentation requirements. This continuous feedback loop helps ensure that services can adapt and remain effective in a dynamic healthcare landscape.

Encourage user feedback on document processes for betterment.
Integrate improvements based on user suggestions.
Maintain a feedback loop to adapt to changing healthcare needs.

Staying up to date with mental health documentation

The field of mental health documentation is continuously evolving, with new regulations and best practices emerging regularly. It’s crucial for professionals to stay informed about any changes in DMH requirements to ensure compliance. Engaging with professional communities and subscribing to updates from relevant mental health organizations can be beneficial in staying abreast of new developments.

Additionally, many organizations offer newsletters or online resources that provide insights into best practices and any modifications in documentation standards. Actively participating in such platforms fosters a culture of continuous learning and can significantly benefit the quality of care provided to patients.

Stay informed about changes in DMH requirements.
Engage with professional communities for shared insights.
Subscribe to newsletters or resources for updating best practices.
Fill form : Try Risk Free
Users Most Likely To Recommend - Summer 2025
Grid Leader in Small-Business - Summer 2025
High Performer - Summer 2025
Regional Leader - Summer 2025
Easiest To Do Business With - Summer 2025
Best Meets Requirements- Summer 2025
Rate the form
4.8
Satisfied
36 Votes

For pdfFiller’s FAQs

Below is a list of the most common customer questions. If you can’t find an answer to your question, please don’t hesitate to reach out to us.

On your mobile device, use the pdfFiller mobile app to complete and sign coversheet for dmh and. Visit our website (https://edit-pdf-ios-android.pdffiller.com/) to discover more about our mobile applications, the features you'll have access to, and how to get started.
Create, modify, and share coversheet for dmh and using the pdfFiller iOS app. Easy to install from the Apple Store. You may sign up for a free trial and then purchase a membership.
With the pdfFiller Android app, you can edit, sign, and share coversheet for dmh and on your mobile device from any place. All you need is an internet connection to do this. Keep your documents in order from anywhere with the help of the app!
The coversheet for DMH (Department of Mental Health) is a document used to provide necessary details about the mental health service being reported or requested.
Providers of mental health services, including therapists, counselors, and other licensed professionals, are required to file the coversheet for DMH.
To fill out the coversheet for DMH, individuals should follow the provided guidelines which typically include entering client information, service details, and any relevant dates.
The purpose of the coversheet for DMH is to ensure that all relevant information about the mental health service is clearly documented and easily accessible for review and processing.
Required information on the coversheet for DMH typically includes the client's name, date of service, type of service provided, and provider's details.
Fill out your coversheet for dmh and online with pdfFiller!

pdfFiller is an end-to-end solution for managing, creating, and editing documents and forms in the cloud. Save time and hassle by preparing your tax forms online.

Get started now
Form preview
If you believe that this page should be taken down, please follow our DMCA take down process here .
This form may include fields for payment information. Data entered in these fields is not covered by PCI DSS compliance.