Form preview

Get the free Business Entities in Jamaica: Legal and Tax Considerations

Get Form
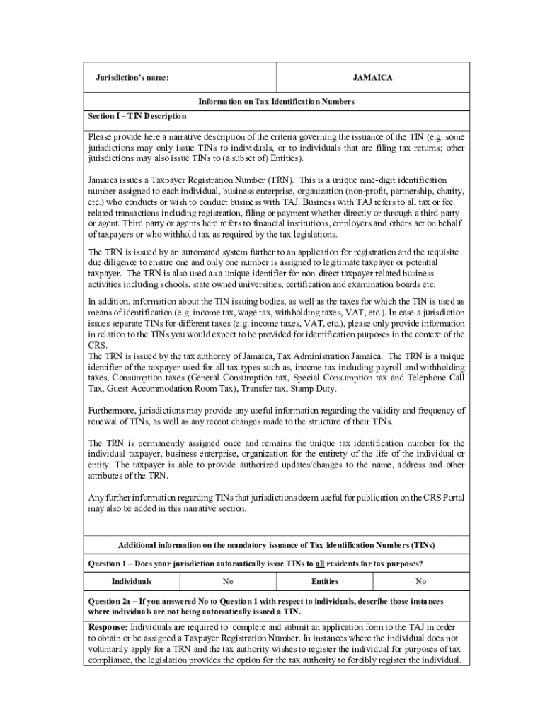
This document provides detailed information regarding the issuance, structure, and usage of Taxpayer Registration Numbers (TRNs) in Jamaica, including the requirements for individuals and entities
We are not affiliated with any brand or entity on this form

Get, Create, Make and Sign business entities in jamaica

Edit
Edit your business entities in jamaica form online
Type text, complete fillable fields, insert images, highlight or blackout data for discretion, add comments, and more.
Add
Add your legally-binding signature
Draw or type your signature, upload a signature image, or capture it with your digital camera.
Share
Share your form instantly
Email, fax, or share your business entities in jamaica form via URL. You can also download, print, or export forms to your preferred cloud storage service.

Editing business entities in jamaica online

9.5
Ease of Setup
pdfFiller User Ratings on G2
9.0
Ease of Use
pdfFiller User Ratings on G2
To use the services of a skilled PDF editor, follow these steps below:
1
Log in. Click Start Free Trial and create a profile if necessary.
2
Prepare a file. Use the Add New button. Then upload your file to the system from your device, importing it from internal mail, the cloud, or by adding its URL.
3
Edit business entities in jamaica. Rearrange and rotate pages, add new and changed texts, add new objects, and use other useful tools. When you're done, click Done. You can use the Documents tab to merge, split, lock, or unlock your files.
4
Save your file. Select it from your records list. Then, click the right toolbar and select one of the various exporting options: save in numerous formats, download as PDF, email, or cloud.
pdfFiller makes working with documents easier than you could ever imagine. Register for an account and see for yourself!

Uncompromising security for your PDF editing and eSignature needs

Your private information is safe with pdfFiller. We employ end-to-end encryption, secure cloud storage, and advanced access control to protect your documents and maintain regulatory compliance.
GDPR
AICPA SOC 2
PCI
HIPAA
CCPA
FDA

How to fill out business entities in jamaica

Illustration

How to fill out business entities in jamaica

01
Determine the type of business entity you want to establish (e.g., sole proprietorship, partnership, company).
02
Choose a unique name for your business and ensure it complies with Jamaican naming regulations.
03
Register your business name with the Companies Office of Jamaica if applicable.
04
Prepare the necessary documents, including the Memorandum and Articles of Association for companies.
05
Complete the appropriate application forms for the chosen business entity type.
06
Submit your application along with the required fees to the Companies Office of Jamaica.
07
Obtain a Taxpayer Registration Number (TRN) for your business from the Tax Administration Jamaica.
08
Register for General Consumption Tax (GCT) if your business meets the revenue threshold.
09
Apply for any necessary permits or licenses depending on your business activities.
10
Open a business bank account once your registration is complete.

Who needs business entities in jamaica?

01
Entrepreneurs looking to start a new business in Jamaica.
02
Individuals seeking to formalize their existing business operations.
03
Small business owners wanting to protect their personal assets.
04
Businesses seeking to establish credibility with customers and suppliers.
05
Foreign investors aiming to set up operations in Jamaica.

Business Entities in Jamaica Form: A Comprehensive Guide

Understanding business entities in Jamaica

Business entities in Jamaica are foundational structures that determine how a business operates legally. Establishing a suitable business entity is crucial for entrepreneurs as it influences tax obligations, liability issues, and regulatory compliance. Understanding the various types of business entities provides clarity and assists in making informed decisions when starting a venture.

Jamaica's legal framework acknowledges several business entity types, each with different features, advantages, and challenges. This classification allows businesses to select an entity that best aligns with their goals, industry requirements, and personal preferences.

Available business entity types in Jamaica

Limited liability company ()

A Limited Liability Company (LLC) combines the features of a corporation and a partnership. This structure offers the benefit of limited liability, safeguarding personal assets from business debts. LLCs are a favorite among small to medium-sized businesses due to their flexibility in management and taxation, where owners can choose to be taxed as a corporation or a partnership.

Limited liability protects personal assets from business liabilities.
Management flexibility allows members to decide how the LLC will operate.
Easier tax reporting with pass-through taxation options.

However, the formation of an LLC also comes with drawbacks. These include potential higher startup costs and ongoing compliance requirements, such as the need to maintain detailed records and annual filings.

Public limited company (PLC)

A Public Limited Company (PLC) is a business entity that can offer shares to the public on the stock exchange. It has a more regulated structure compared to an LLC, with requirements that enhance transparency and accountability. PLCs are suited for larger businesses looking to raise capital from public investors.

Ability to raise capital through public offerings.
Enhanced credibility and public profile.
Strict regulatory compliance ensures transparency.

The complexities of governing a PLC, including stringent reporting obligations and higher costs related to compliance, are significant considerations for potential PLC founders.

Sole proprietorship

A sole proprietorship is the simplest business entity, owned and operated by a single individual. This entity type involves minimal regulatory requirements and is often the first choice for small business owners who prefer a straightforward operational structure.

Full control of business decisions and operations.
Simplified tax obligations.
Minimal setup costs.

Nonetheless, the primary disadvantage lies in unlimited liability, meaning personal assets are at risk if the business fails.

Partnerships

Partnerships in Jamaica can be classified into two types: general partnerships and limited partnerships. General partnerships require all partners to manage the business actively, sharing profits and liabilities equally, while limited partnerships consist of both general and limited partners, with at least one partner enjoying limited liability.

Shared responsibility among partners.
More capital can be raised collectively.
Partnership agreements enhance clarity in roles and profit-sharing.

The importance of a well-drafted partnership agreement cannot be overstated, as it sets expectations and guidelines for interactions among partners.

Branches of foreign companies

Foreign companies looking to establish a presence in Jamaica can do so through a branch. This type of entity is not considered separate from the parent company and carries all liabilities and obligations directly tied to the foreign firm.

Allows foreign companies to operate without needing full incorporation.
Subject to local regulations but maintains the foreign firm’s structure.
Simplified reporting processes, compared to other entities.

Key considerations for setting up a branch include compliance with Jamaican laws and regulations governing foreign entities and the requirement of appointing a local representative.

Subsidiaries of foreign firms

A subsidiary is an independent legal entity that is owned by a foreign firm. This structure allows for the management of local operations while maintaining ties to the parent company.

Limited liability protects the parent company from local risks.
Flexibility in local operational management.
Potential access to local market incentives.

The establishment of a subsidiary can be advantageous due to access to local distribution networks and markets, making it an attractive option for foreign investors.

Legal requirements for business entities in Jamaica

To successfully register a business in Jamaica, understanding the legal requirements for each type of entity is essential. The registration process typically includes filing the necessary documentation with the Companies Office of Jamaica (COJ).

Name reservation to ensure uniqueness and compliance.
Preparation of incorporation documents, such as the Articles of Incorporation for LLCs.
Submission of the registration application to COJ.
Acquisition of a Taxpayer Registration Number (TRN).

Documentation requirements vary by entity type. For LLCs, incorporation documents and identification of directors are crucial. Sole proprietorships require identification and a business name registration, whereas partnerships need a partnership agreement detailing roles and profit-sharing.

Ensuring compliance entails filing annual returns and maintaining adequate records. It is essential to understand that failure to comply with regulations can lead to penalties and potentially jeopardize the business’s existence.

Tax considerations for different entities

Navigating the tax landscape is crucial for any business in Jamaica, as corporate income tax rates can impact profitability. Understanding the nuances associated with the different business entities can provide clarity on tax obligations.

The corporate income tax rate generally stands at 25%.
Payroll taxes, which include National Insurance and Education tax, are mandatory.
Property taxes, including transfer taxes, need to be factored into business costs.
The Special Consumption Tax (SCT) applies to specific goods and services.
Withholding taxes are significant for foreign companies, especially pertaining to international agreements.

Each entity must follow these guidelines to ensure compliance and leverage potential tax incentives, reinforcing the importance of strategic tax planning.

Regulatory environment for foreign investments

Jamaica encourages foreign investments by offering several incentives and a supportive regulatory environment. The establishment of the Jamaica Promotions Corporation (JAMPRO) has streamlined processes and provided resources to assist foreign investors.

Tax incentives such as exemptions and deductions geared towards specific industries.
Investor protection laws that mitigate risks associated with foreign investments.
Support from government agencies that offer guidance and assistance throughout the establishment process.

New businesses benefit from improved infrastructure, a growing market, and a strategic location. Navigating the regulatory framework can be intricate, but with adequate guidance, entrepreneurs can effectively establish their endeavors.

Steps to setting up a business in Jamaica

Step 1: Name reservation

The first step in forming a business entity is to reserve a unique business name with the Companies Office of Jamaica. This ensures that the name is available and complies with legal requirements.

Step 2: Prepare incorporation documents

Next, preparing the necessary incorporation documents is crucial. This includes the Articles of Incorporation, business registration forms, and identification documentation for all directors.

Step 3: Submit registration application

Once the incorporation documents are in order, businesses must submit their registration application to the COJ. Expect a review period which may require adjustments or clarifications.

Step 4: Obtain a Taxpayer Registration Number (TRN)

Afterwards, acquiring a Taxpayer Registration Number (TRN) is necessary for tax purposes. This registration is essential to comply with the revenue authority's requirements.

Step 5: Register for National Insurance and statutory deductions

Registering for National Insurance ensures coverage under the Jamaican system, while statutory deductions protect both the employer and the employee.

Step 6: Open a corporate bank account

A corporate bank account is vital for separating personal and business finances. Explore various local banks to find features and benefits that align with your business needs.

Step 7: Obtain business licenses and permits (if required)

Depending on the nature of the business, specific licenses and permits may be required by local authorities. Research regulations applicable to your business sector.

Step 8: File annual returns and maintain compliance

Lastly, continuous compliance is essential. Annually file returns, keep accurate financial records, and stay updated with any regulatory changes affecting your business.

Navigating the business formation process

Engaging legal and financial advisors is a strategic move when starting a business. Their expertise can guide you through complex requirements and help navigate the interpretation of regulations.

Utilizing document management tools like pdfFiller can significantly enhance the business formation process. It empowers users to seamlessly edit PDFs, eSign, collaborate, and manage documents from a single, cloud-based platform, reducing turnaround time for essential paperwork.

Frequently asked questions about business entities in Jamaica

When considering business structures, potential owners often have similar questions. Key inquiries revolve around the minimum requirements to incorporate entities and the possibility for foreigners to start businesses in Jamaica.

Minimum requirements for LLCs include at least one director and one shareholder.
Foreigners can indeed start businesses in Jamaica but must comply with local laws.
Common misconceptions include that all businesses need a license, which varies by sector.

Market research and feasibility studies

Conducting thorough market research is paramount to gauge the viability of a business venture. Knowledge of market trends, consumer preferences, and competitive positioning are critical factors in establishing a successful business.

Surveys and focus groups to gather consumer feedback.
Competitor analysis to understand market dynamics.
Financial projections to assess profitability and cash flow.

Resources for conducting feasibility studies can be invaluable sources of information to support business decisions, ensuring investments are sound and well-founded.

Conclusion and key takeaways

Understanding the types of business entities in Jamaica and their specific requirements is essential for entrepreneurs looking to establish a presence in the market. From limited liability companies to sole proprietorships, each structure offers distinct advantages and challenges.

Entrepreneurs are encouraged to consider their long-term objectives, engage with advisors, and leverage document management tools like pdfFiller to ease the journey of business formation. Taking informed steps today can lead to substantial growth in Jamaica’s vibrant economy.

Fill form : Try Risk Free
Users Most Likely To Recommend - Summer 2025
Grid Leader in Small-Business - Summer 2025
High Performer - Summer 2025
Regional Leader - Summer 2025
Easiest To Do Business With - Summer 2025
Best Meets Requirements- Summer 2025
Rate the form
4.4
Satisfied
35 Votes

For pdfFiller’s FAQs

Below is a list of the most common customer questions. If you can’t find an answer to your question, please don’t hesitate to reach out to us.

It's easy to make your eSignature with pdfFiller, and then you can sign your business entities in jamaica right from your Gmail inbox with the help of pdfFiller's add-on for Gmail. This is a very important point: You must sign up for an account so that you can save your signatures and signed documents.
Use the pdfFiller mobile app to fill out and sign business entities in jamaica. Visit our website (https://edit-pdf-ios-android.pdffiller.com/) to learn more about our mobile applications, their features, and how to get started.
With the pdfFiller mobile app for Android, you may make modifications to PDF files such as business entities in jamaica. Documents may be edited, signed, and sent directly from your mobile device. Install the app and you'll be able to manage your documents from anywhere.
Business entities in Jamaica refer to the various forms of organizations that conduct business activities, such as sole proprietorships, partnerships, and corporations.
All businesses operating in Jamaica, including sole traders, partnerships, and corporations, are required to register and file their business entities with the relevant authorities.
To fill out business entities in Jamaica, one must complete the registration forms provided by the Companies Office of Jamaica, ensuring all necessary information is included and accurate.
The purpose of business entities in Jamaica is to provide a legal framework for individuals and groups to conduct business activities, protect their interests, and facilitate regulatory compliance.
Information required to be reported includes the business name, address, type of business entity, ownership details, and financial statements, among other relevant data.
Fill out your business entities in jamaica online with pdfFiller!

pdfFiller is an end-to-end solution for managing, creating, and editing documents and forms in the cloud. Save time and hassle by preparing your tax forms online.

Get started now
Form preview
If you believe that this page should be taken down, please follow our DMCA take down process here .
This form may include fields for payment information. Data entered in these fields is not covered by PCI DSS compliance.