
Get the free Informed Consent to Hiv Testing
Get, Create, Make and Sign informed consent to hiv



Editing informed consent to hiv online
Uncompromising security for your PDF editing and eSignature needs
How to fill out informed consent to hiv

How to fill out informed consent to hiv
Who needs informed consent to hiv?
Informed Consent to HIV Form - A Comprehensive How-To Guide
Understanding the importance of informed consent in HIV testing
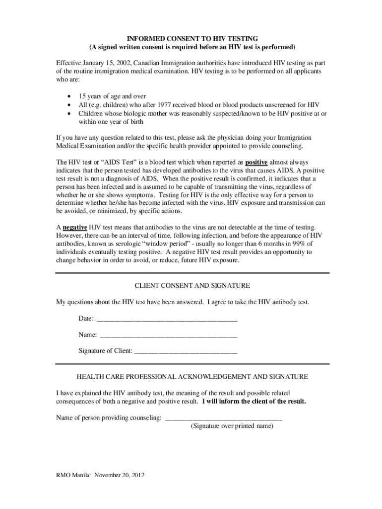
Informed consent is a foundational principle in the healthcare sector, particularly when it comes to HIV testing. This process ensures that individuals are fully aware of what they are agreeing to and empowers them to make independent decisions about their health.
In the context of HIV testing, informed consent entails providing individuals with sufficient information about the test, its implications, and the significance of the results. Legal and ethical implications play a crucial role here, as healthcare providers must adhere to regulations to maintain patient autonomy.
Ultimately, informed consent fosters patient empowerment and builds trust between healthcare providers and their patients. Understanding all aspects of the HIV test, including potential repercussions, is essential for individuals to feel secure and respected in their medical choices.
Components of an informed consent to HIV form
An informed consent to HIV form should encompass several vital components to ensure comprehensiveness and clarity. Each element is crucial in delineating the expectations from both the healthcare provider and the patient.
Filling out the informed consent to HIV form
Completing the informed consent to HIV form involves careful attention to detail and understanding of the documentation. Following a structured approach can streamline the process and enhance clarity.
Understanding medical jargon is crucial. Do not hesitate to seek clarification from your healthcare provider about any terms or sections of the form that seem unclear.
Editing and customizing your HIV consent form
The ability to customize your informed consent to HIV form can enhance its relevance and applicability. Utilizing tools like pdfFiller allows for seamless editing.
After making edits, it’s critical to review changes for accuracy and completeness before submission.
Interactive tools and resources for managing your HIV consent form
Utilizing pdfFiller's innovative features can greatly facilitate the management of your informed consent to HIV form. Accessibility and collaboration are key elements in this digital platform.
Safety is paramount; pdfFiller includes secure options for saving and sharing your consent form.
Frequently asked questions about HIV consent forms
Understanding your options regarding informed consent to HIV testing can provide peace of mind. Here we address some frequently asked questions that might arise.
Related forms and templates for comprehensive HIV testing
In addition to the informed consent to HIV form, there are several other forms that you may need to be aware of when undergoing comprehensive HIV testing.
Access to educational resources about HIV testing is also supported within pdfFiller's platform, providing users with necessary documentation.
Utilizing pdfFiller for a streamlined document experience
pdfFiller offers a sophisticated cloud-based document solution designed for individuals and teams. It simplifies the management of healthcare-related forms such as the informed consent to HIV form.
This streamlined experience ensures that users can focus more on their health and less on paperwork.
Legal considerations regarding informed consent
Given the sensitive nature of HIV testing, it is imperative to understand the legalities surrounding informed consent. Various laws and regulations guide the consent process and protect patient rights.
Navigating these legal considerations is crucial for both patients and providers involved in HIV testing.
Popular forms and resources for patients and providers
Apart from the informed consent to HIV form, there are other commonly used forms that simplify the patient experience during HIV testing and treatment.
Accessing these documents through pdfFiller ensures efficient management and security for users navigating their health journeys.
For pdfFiller’s FAQs
Below is a list of the most common customer questions. If you can’t find an answer to your question, please don’t hesitate to reach out to us.
How do I make changes in informed consent to hiv?
How do I make edits in informed consent to hiv without leaving Chrome?
Can I create an eSignature for the informed consent to hiv in Gmail?
What is informed consent to HIV?
Who is required to file informed consent to HIV?
How to fill out informed consent to HIV?
What is the purpose of informed consent to HIV?
What information must be reported on informed consent to HIV?
pdfFiller is an end-to-end solution for managing, creating, and editing documents and forms in the cloud. Save time and hassle by preparing your tax forms online.
