Get the free Bizapedia - Find Companies, People, Addresses, Phone ...
Show details
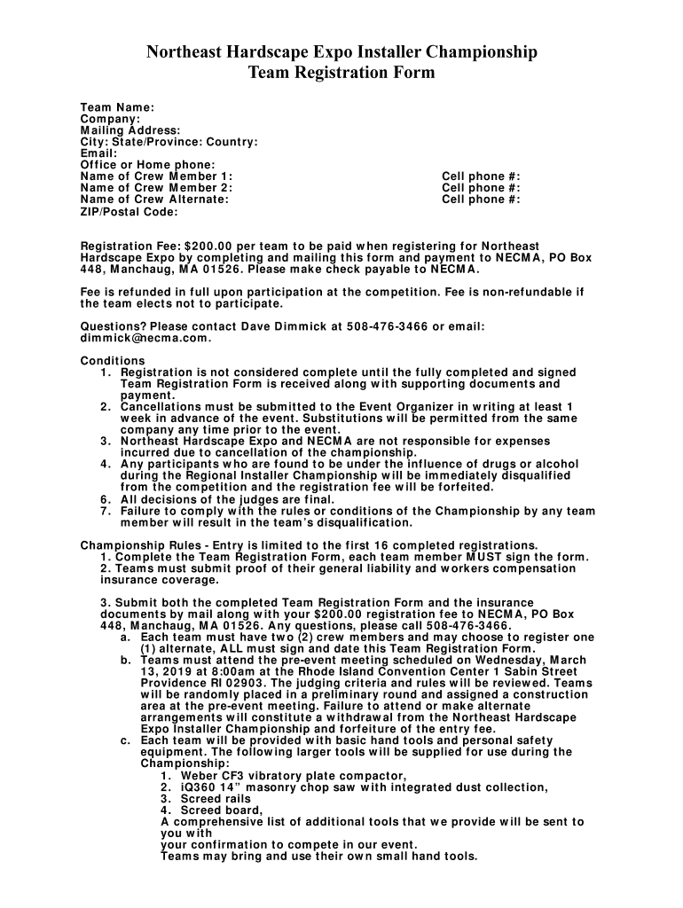
Northeast Hardscape Expo Installer Championship Team Registration Form Team Name: Company: Mailing Address: City: State/Province: Country: Email: Office or Home phone: Name of Crew Member 1: Name
We are not affiliated with any brand or entity on this form
Get, Create, Make and Sign bizapedia - find companies
Edit your bizapedia - find companies form online
Type text, complete fillable fields, insert images, highlight or blackout data for discretion, add comments, and more.
Add your legally-binding signature
Draw or type your signature, upload a signature image, or capture it with your digital camera.
Share your form instantly
Email, fax, or share your bizapedia - find companies form via URL. You can also download, print, or export forms to your preferred cloud storage service.
How to edit bizapedia - find companies online
Use the instructions below to start using our professional PDF editor:
1
Create an account. Begin by choosing Start Free Trial and, if you are a new user, establish a profile.
2
Upload a document. Select Add New on your Dashboard and transfer a file into the system in one of the following ways: by uploading it from your device or importing from the cloud, web, or internal mail. Then, click Start editing.
3
Edit bizapedia - find companies. Add and change text, add new objects, move pages, add watermarks and page numbers, and more. Then click Done when you're done editing and go to the Documents tab to merge or split the file. If you want to lock or unlock the file, click the lock or unlock button.
4
Save your file. Choose it from the list of records. Then, shift the pointer to the right toolbar and select one of the several exporting methods: save it in multiple formats, download it as a PDF, email it, or save it to the cloud.
pdfFiller makes dealing with documents a breeze. Create an account to find out!
Uncompromising security for your PDF editing and eSignature needs
Your private information is safe with pdfFiller. We employ end-to-end encryption, secure cloud storage, and advanced access control to protect your documents and maintain regulatory compliance.
How to fill out bizapedia - find companies
How to fill out bizapedia - find companies
01
Open your web browser and go to the Bizapedia website.
02
On the homepage, you will see a search bar. Type in the name of the company you want to find and click on the 'Search' button.
03
A list of search results will appear displaying the companies that match your search criteria. Scroll through the list to find the specific company you are looking for.
04
Click on the company's name to view more detailed information about it.
05
On the company's page, you will find information such as its address, phone number, and business category. You can also access additional details like the company's registered agent and key executives.
06
If you want to save or print the information, you can use the provided options on the webpage.
07
To perform another search, simply go back to the homepage and repeat the process.
Who needs bizapedia - find companies?
01
Bizapedia - find companies is useful for various individuals and businesses:
02
- Job seekers can use it to research potential employers and gain insights into company profiles.
03
- Business owners can analyze their competitors' information and stay updated on market trends.
04
- Investors and financial analysts can gather data on companies before making investment decisions.
05
- Legal professionals can access information on registered agents, key executives, and corporate entities for legal research and due diligence purposes.
06
- Journalists and researchers can utilize Bizapedia to gather information for news articles, academic studies, and market analysis.
Fill
form
: Try Risk Free
For pdfFiller’s FAQs
Below is a list of the most common customer questions. If you can’t find an answer to your question, please don’t hesitate to reach out to us.
How can I manage my bizapedia - find companies directly from Gmail?
You can use pdfFiller’s add-on for Gmail in order to modify, fill out, and eSign your bizapedia - find companies along with other documents right in your inbox. Find pdfFiller for Gmail in Google Workspace Marketplace. Use time you spend on handling your documents and eSignatures for more important things.
Where do I find bizapedia - find companies?
The premium subscription for pdfFiller provides you with access to an extensive library of fillable forms (over 25M fillable templates) that you can download, fill out, print, and sign. You won’t have any trouble finding state-specific bizapedia - find companies and other forms in the library. Find the template you need and customize it using advanced editing functionalities.
How do I fill out bizapedia - find companies using my mobile device?
Use the pdfFiller mobile app to fill out and sign bizapedia - find companies. Visit our website (https://edit-pdf-ios-android.pdffiller.com/) to learn more about our mobile applications, their features, and how to get started.
What is bizapedia - find companies?
Bizapedia is a website that allows users to search for information about companies, including their contact details, financial information, and key personnel.
Who is required to file bizapedia - find companies?
Any company or business entity that wishes to have their information listed on Bizapedia is required to file their details.
How to fill out bizapedia - find companies?
To fill out Bizapedia, companies need to provide their basic information such as company name, address, contact details, and key personnel.
What is the purpose of bizapedia - find companies?
The purpose of Bizapedia is to provide a platform for users to easily access information about companies, helping them make informed decisions.
What information must be reported on bizapedia - find companies?
Companies must report basic information such as company name, address, contact details, and key personnel.
Fill out your bizapedia - find companies online with pdfFiller!
pdfFiller is an end-to-end solution for managing, creating, and editing documents and forms in the cloud. Save time and hassle by preparing your tax forms online.
Bizapedia - Find Companies is not the form you're looking for?Search for another form here.
Relevant keywords
Related Forms
If you believe that this page should be taken down, please follow our DMCA take down process
here
.
This form may include fields for payment information. Data entered in these fields is not covered by PCI DSS compliance.