Get the free CONSENT TO ELECTRONIC VOTING AND/OR CONSENT TO RECEIVE ...
Show details
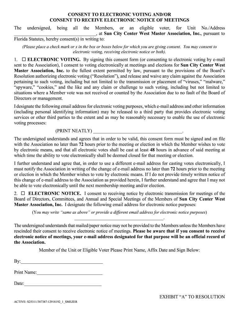
CONSENT TO ELECTRONIC VOTING AND/OR CONSENT TO RECEIVE ELECTRONIC NOTICE OF MEETINGS The undersigned, being all the Members, or an eligible voter, for Unit No./Address, at Sun City Center West Master
We are not affiliated with any brand or entity on this form
Get, Create, Make and Sign consent to electronic voting
Edit your consent to electronic voting form online
Type text, complete fillable fields, insert images, highlight or blackout data for discretion, add comments, and more.
Add your legally-binding signature
Draw or type your signature, upload a signature image, or capture it with your digital camera.
Share your form instantly
Email, fax, or share your consent to electronic voting form via URL. You can also download, print, or export forms to your preferred cloud storage service.
How to edit consent to electronic voting online
Use the instructions below to start using our professional PDF editor:
1
Register the account. Begin by clicking Start Free Trial and create a profile if you are a new user.
2
Upload a document. Select Add New on your Dashboard and transfer a file into the system in one of the following ways: by uploading it from your device or importing from the cloud, web, or internal mail. Then, click Start editing.
3
Edit consent to electronic voting. Rearrange and rotate pages, add new and changed texts, add new objects, and use other useful tools. When you're done, click Done. You can use the Documents tab to merge, split, lock, or unlock your files.
4
Save your file. Choose it from the list of records. Then, shift the pointer to the right toolbar and select one of the several exporting methods: save it in multiple formats, download it as a PDF, email it, or save it to the cloud.
It's easier to work with documents with pdfFiller than you can have ever thought. You can sign up for an account to see for yourself.
Uncompromising security for your PDF editing and eSignature needs
Your private information is safe with pdfFiller. We employ end-to-end encryption, secure cloud storage, and advanced access control to protect your documents and maintain regulatory compliance.
How to fill out consent to electronic voting
How to fill out consent to electronic voting
01
Step 1: Obtain the consent form for electronic voting.
02
Step 2: Read the instructions on the form carefully.
03
Step 3: Fill in your personal details, such as your name, address, and contact information.
04
Step 4: Review the terms and conditions of electronic voting and ensure you understand them.
05
Step 5: Sign the consent form at the designated space.
06
Step 6: Submit the completed consent form to the appropriate authority or organization conducting the electronic voting.
Who needs consent to electronic voting?
01
Anyone who wishes to participate in electronic voting and fulfill the necessary criteria set by the governing body conducting the voting process needs a consent to electronic voting.
02
This may include eligible voters who want to exercise their right to vote through electronic means rather than traditional paper-based voting methods.
Fill
form
: Try Risk Free
For pdfFiller’s FAQs
Below is a list of the most common customer questions. If you can’t find an answer to your question, please don’t hesitate to reach out to us.
Can I sign the consent to electronic voting electronically in Chrome?
Yes. By adding the solution to your Chrome browser, you can use pdfFiller to eSign documents and enjoy all of the features of the PDF editor in one place. Use the extension to create a legally-binding eSignature by drawing it, typing it, or uploading a picture of your handwritten signature. Whatever you choose, you will be able to eSign your consent to electronic voting in seconds.
How can I edit consent to electronic voting on a smartphone?
You may do so effortlessly with pdfFiller's iOS and Android apps, which are available in the Apple Store and Google Play Store, respectively. You may also obtain the program from our website: https://edit-pdf-ios-android.pdffiller.com/. Open the application, sign in, and begin editing consent to electronic voting right away.
How do I complete consent to electronic voting on an iOS device?
Make sure you get and install the pdfFiller iOS app. Next, open the app and log in or set up an account to use all of the solution's editing tools. If you want to open your consent to electronic voting, you can upload it from your device or cloud storage, or you can type the document's URL into the box on the right. After you fill in all of the required fields in the document and eSign it, if that is required, you can save or share it with other people.
What is consent to electronic voting?
Consent to electronic voting refers to the formal agreement by an individual or entity to participate in voting through electronic means, allowing them to cast their votes using digital platforms.
Who is required to file consent to electronic voting?
Typically, individuals or entities participating in an election that allows electronic voting must file consent to electronic voting to ensure their participation is valid.
How to fill out consent to electronic voting?
To fill out consent to electronic voting, individuals should complete the required form, providing necessary personal information and signing to indicate their agreement to vote electronically.
What is the purpose of consent to electronic voting?
The purpose of consent to electronic voting is to ensure that voters agree to and understand the process of voting electronically, enhancing security and legitimacy in the voting process.
What information must be reported on consent to electronic voting?
Consent to electronic voting must report information such as the voter's name, contact information, consent statement, and details of the election.
Fill out your consent to electronic voting online with pdfFiller!
pdfFiller is an end-to-end solution for managing, creating, and editing documents and forms in the cloud. Save time and hassle by preparing your tax forms online.
Consent To Electronic Voting is not the form you're looking for?Search for another form here.
Relevant keywords
Related Forms
If you believe that this page should be taken down, please follow our DMCA take down process
here
.
This form may include fields for payment information. Data entered in these fields is not covered by PCI DSS compliance.