
Obtener el gratis fee disclosure form and compensation agreement
Mostrar detalles
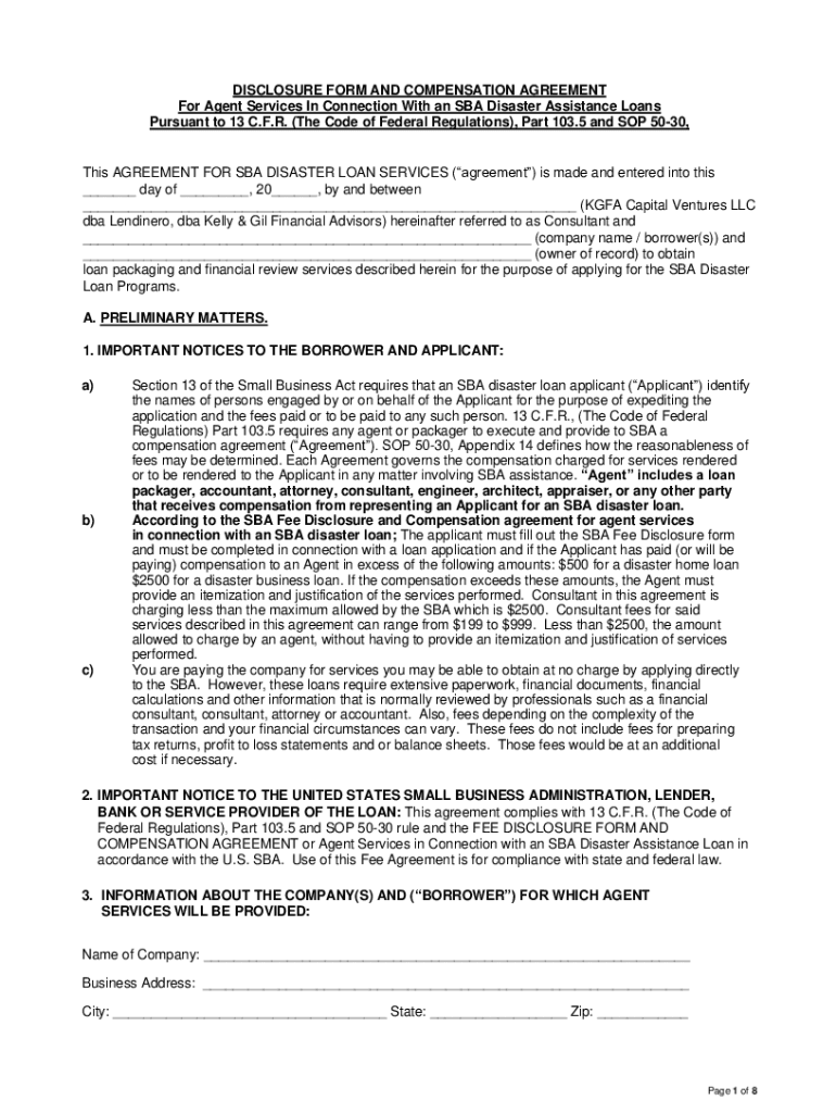
DISCLOSURE FORM AND COMPENSATION AGREEMENT For Agent Services In Connection With an SBA Disaster Assistance Loans Pursuant to 13 C.F.R. (The Code of Federal Regulations), Part 103.5 and SOP 5030,This
No estamos afiliados con ninguna marca o entidad en este formulario
Obtener, crear y firmar obtener el gratis fee

Edita tu obtener el gratis fee formulario en línea
Escriba texto, campos llenos, inserte imágenes, resalte o borre datos para su discreción, añada comentarios y más.

Añade tu firma legalmente vinculante
Dibuja o escriba su firma, cargue una imagen de firma o la capture con su cámara digital.

Comparte tu formulario al instante
Email, fax, o compartir su obtener el gratis fee vía URL. También puede descargar, imprimir o exportar formularios a su servicio de almacenamiento en la nube preferido.
Cómo puedes modificar obtener el gratis fee en línea
Siga las recomendaciones debajo para benefíciese del editor de PDF profesional:
1
Iniciar sesión a su cuenta. Simplemente haga clic Comenzar Oferta de prueba y regístrese un perfil de usuario en el caso de que no tiene uno todavía.
2
Subir un documento. Escoger Agregue más nuevos en su Tablero de control y mover un archivo en el proceso en uno de los perseguir técnicas : agregando desde su gadget o importándolo desde nube y website, o inner email. Luego, haga clic Iniciar editando y mejorando.
3
Revisar obtener el gratis fee. Agregar más y intercambiar texto escrito, insertar nuevos objetos físicos, reorganizar páginas web, añadir marcas de agua y sitio números de teléfono, y más. Simplemente haga clic Terminado si está hecho editando y mejorando y mirar la pestaña Documentos para combinar , romper, bloquear o descubrir el documento.
4
Obtenga su archivo. Seleccione el nombre de el documento dentro del documentos lista y elige tu elegido exportando enfoque. Puede descargar como un un archivo PDF, preservarlo en otro formatear, entregar por email, o mover hacia la nube.
Con pdfFiller, lidiar con documentos es obviamente sencillo. Pruébelo ahora!
Seguridad sin concesiones para tus necesidades de edición de PDF y firma electrónica
Tu información privada está segura con pdfFiller. Utilizamos cifrado de extremo a extremo, almacenamiento seguro en la nube y control de acceso avanzado para proteger tus documentos y mantener el cumplimiento normativo.
Cómo rellenar obtener el gratis fee

Cómo completar fee disclosure form and
01
Obtener el formulario de divulgación de tarifas.
02
Leer detenidamente las instrucciones proporcionadas.
03
Complete todas las secciones del formulario con la información requerida.
04
Revise cuidadosamente el formulario para asegurarse de que toda la información sea precisa y esté completa.
05
Firme y feche el formulario antes de presentarlo según las instrucciones proporcionadas.
¿Quién necesita fee disclosure form and?
01
El formulario de divulgación de tarifas es necesario para cualquier persona que esté involucrada en transacciones financieras o inversiones que impliquen el pago de tarifas.
Rellenar
form
: Pruébalo sin riesgos
Para las preguntas frecuentes de pdfFiller
A continuación se muestra una lista de las preguntas más comunes de los clientes. Si no puede encontrar una respuesta a su pregunta, no dude en comunicarse con nosotros.
Cómo puedo modificar obtener el gratis fee de Motores de búsqueda Generar?
Es posible rápidamente impulsar su registrar gestión y formulario preparación al incluir pdfFiller con Google Docs ayudarle crear, editar y indicación papeles directamente desde su Motores de búsqueda Travel. El incluir-on significa que puede mejorar su obtener el gratis fee justo en un activo rellenable escribir que puedes manejar y eSign desde el en línea-adjunto gadget.
¿Cómo llevar a cabo obtener el gratis fee en línea?
Completar y poner su firma en obtener el gratis fee en la web es fácil con pdfFiller. significa que puede modificar inicial PDF artículos, enfatizar, apagón, borrar y tipo mensaje de texto en todas partes con una página web, legítimamente Firme electrónicamente su tipo, más mucho más. Cree su sin cargo cuenta y administre experto documentos en internet.
Cómo puedo completar obtener el gratis fee en un iOS gadget?
Obtenga e instale la programa pdfFiller para iOS. Próximamente, abierto la aplicación e iniciar sesión o generar su cuenta para obtener acceso a {todos los|todos los|cada uno de los|cada uno de edición de la solución características. Para abrir su obtener el gratis fee, añadir desde su dispositivo o nube almacenamiento, o ir al registro Enlace. Una vez que full cada uno de los esencial carreras a lo largo el documento y Firmarlo electrónicamente (si eso es requerido), usted guarda o discutir con otras personas.
¿Qué es fee disclosure form and?
Es un formulario que revela las tarifas y gastos asociados con un producto o servicio financiero.
¿Quién debe presentar fee disclosure form and?
El proveedor de servicios financieros debe presentar el formulario de divulgación de tarifas.
¿Cómo completar fee disclosure form and?
El formulario de divulgación de tarifas se completa proporcionando información detallada sobre las tarifas y gastos asociados con el producto o servicio financiero.
¿Cuál es el propósito de fee disclosure form and?
El propósito del formulario de divulgación de tarifas es proporcionar a los consumidores información clara y transparente sobre los costos asociados con un producto o servicio financiero.
¿Qué información se debe reportar en fee disclosure form and?
En el formulario de divulgación de tarifas se debe reportar información detallada sobre las tarifas, gastos y condiciones asociadas con el producto o servicio financiero.
Llena tu obtener el gratis fee en línea con pdfFiller!
pdfFiller es una solución integral para administrar, crear y editar documentos y formularios en la nube. Ahorre tiempo y molestias preparando sus formularios de impuestos en línea.

Obtener El Gratis Fee ¿No es la forma que estás buscando?Busque otro formulario aquí.
Palabras clave relevantes
Formularios relacionados
Si crees que esta página se debe eliminar, sigue nuestro proceso de eliminación DMCA
aquí
.
Este formulario puede incluir campos para la información de pago. Los datos ingresados en estos campos no están cubiertos por el cumplimiento de PCI DSS.