Obtener el gratis NASS REPORT: Maintenance of State Voter Registration ...
Mostrar detalles
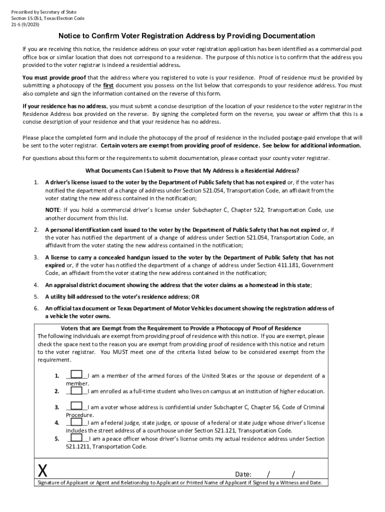
Prescribed by Secretary of State Section 15.051, Texas Election Code 215 (9/2023)Notice to Confirm Voter Registration Address by Providing Documentation If you are receiving this notice, the residence
No estamos afiliados con ninguna marca o entidad en este formulario
Obtener, crear y firmar obtener el gratis nass
Edita tu obtener el gratis nass formulario en línea
Escriba texto, campos llenos, inserte imágenes, resalte o borre datos para su discreción, añada comentarios y más.
Añade tu firma legalmente vinculante
Dibuja o escriba su firma, cargue una imagen de firma o la capture con su cámara digital.
Comparte tu formulario al instante
Email, fax, o compartir su obtener el gratis nass vía URL. También puede descargar, imprimir o exportar formularios a su servicio de almacenamiento en la nube preferido.
Cómo puedes cambiar obtener el gratis nass en línea
Aproveche las recomendaciones a continuación para comenzar usando nuestro experto archivo PDF editor:
1
Registrarse la cuenta. Empezar con haciendo clic Comenzar Versión de prueba gratuita y haga una cuenta en caso de que lo seas un nuevo consumidor.
2
Prepare un archivo de datos. Use el Incluir Nuevo botón. Luego, publique su documento al proceso fuera de su dispositivo, importándolo desde interior correo electrónico, la nube, o con la ayuda de su Enlace.
3
Editar obtener el gratis nass. Organizar y girar páginas, poner nuevo y alterar preexistente mensajes de texto, incluir nuevos objetos físicos, y aproveche al máximo otras valiosas recursos. Simplemente haga clic Hecho para implementar cambios y regresar a su Panel de control. Revise la pestaña Papeleo para obtener acceso a fusionar, dividir y bloquear o desatando características.
4
Guarde su valioso enviar. Seleccione dentro de la selección de sus registros. Luego, mover el cursor a la derecha barra de herramientas y seleccionar uno de los ofrecido exportar técnicas: preservar en varios formatos, obtener como un PDF, enviar por correo electrónico , o tienda minorista dentro de la nube.
pdfFiller hace utilizar papeles más simple de lo que puedes realmente imaginar. Regístrese para una cuenta de comerciante y descubra para usted mismo!
Seguridad sin concesiones para tus necesidades de edición de PDF y firma electrónica
Tu información privada está segura con pdfFiller. Utilizamos cifrado de extremo a extremo, almacenamiento seguro en la nube y control de acceso avanzado para proteger tus documentos y mantener el cumplimiento normativo.
Cómo rellenar obtener el gratis nass
Cómo completar nass report maintenance of
01
Accede al sistema de informes de mantenimiento de NASS.
02
Completa la información requerida sobre el mantenimiento realizado.
03
Verifica que los datos sean correctos y actualizados.
04
Guarda el reporte y genera una copia de respaldo si es necesario.
¿Quién necesita nass report maintenance of?
01
El personal encargado de llevar un registro detallado de los mantenimientos realizados en equipos o instalaciones específicas.
Rellenar
form
: Pruébalo sin riesgos
Para las preguntas frecuentes de pdfFiller
A continuación se muestra una lista de las preguntas más comunes de los clientes. Si no puede encontrar una respuesta a su pregunta, no dude en comunicarse con nosotros.
¿Cómo modificar obtener el gratis nass en línea?
Con pdfFiller, el método de mejora es fácil. Abrir de par en par su obtener el gratis nass dentro del editor, que es muy fácil de usar y fácil de usar. Allí, usted tener la capacidad de borrar, redactar, tipo y eliminar contenido textual, añadir imágenes, traer flechas y contornos, punto pegajoso observaciones y texto escrito contenedores , y mucho más.
¿Cómo revisar obtener el gratis nass en Stainless?
Obtener y agregar más pdfFiller Extensión de Google Chrome en su navegador de Internet para revisar, enviar y firmar electrónicamente su obtener el gratis nass, que puede disponible en el editor directamente desde una búsqueda en Google página web dentro un clic. Realizar sus documentos rellenables desde cualquier Internet-conectado sistema sin crear Cromo.
Debería hacer una firma electrónica para el obtener el gratis nass en Gmail?
Es posible hacer su firma electrónica con pdfFiller y después de eso Firmar su obtener el gratis nass desde su buzón mediante el uso de pdfFiller's include-on para Gmail. Por favortenga cuidado que debe regístrese para una cuenta para guardar sus firmas y firmado papeleo.
¿Qué es nass report maintenance of?
El NASS Report Maintenance Of es un informe que se utiliza para recopilar información sobre el mantenimiento de activos agrícolas y su uso en la producción.
¿Quién debe presentar nass report maintenance of?
Deben presentar el NASS Report Maintenance Of los productores agrícolas y propietarios de tierras que gestionan activos agrícolas.
¿Cómo completar nass report maintenance of?
Para completar el NASS Report Maintenance Of, se debe proporcionar información detallada sobre los activos agrícolas, su uso y mantenimiento, completando cada sección del formulario de manera precisa.
¿Cuál es el propósito de nass report maintenance of?
El propósito del NASS Report Maintenance Of es proporcionar datos precisos que ayuden a evaluar el estado de los activos agrícolas y a mejorar la planificación y gestión en el sector agrícola.
¿Qué información se debe reportar en nass report maintenance of?
Se debe reportar información sobre el tipo de activos, su estado, frecuencia de mantenimiento, y cualquier mejora realizada en los activos agrícolas.
Llena tu obtener el gratis nass en línea con pdfFiller!
pdfFiller es una solución integral para administrar, crear y editar documentos y formularios en la nube. Ahorre tiempo y molestias preparando sus formularios de impuestos en línea.
Obtener El Gratis Nass ¿No es la forma que estás buscando?Busque otro formulario aquí.
Palabras clave relevantes
Formularios relacionados
Si crees que esta página se debe eliminar, sigue nuestro proceso de eliminación DMCA
aquí
.
Este formulario puede incluir campos para la información de pago. Los datos ingresados en estos campos no están cubiertos por el cumplimiento de PCI DSS.