
Obtener el gratis Acuerdo marital de derechos y obligaciones
Mostrar detalles
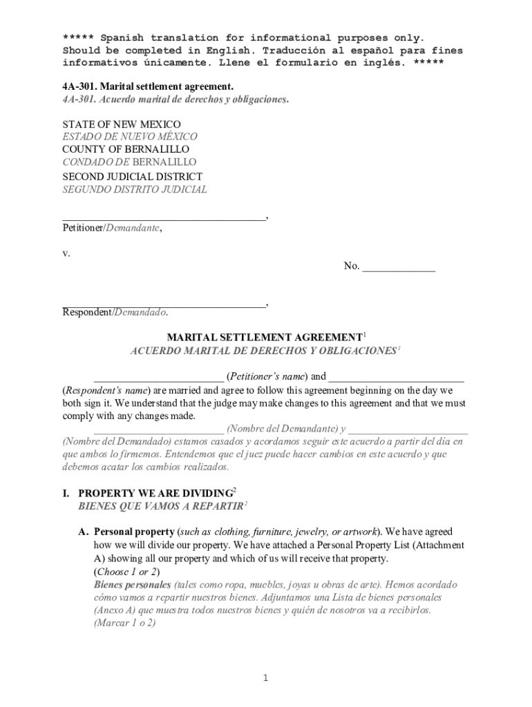
***** Spanish translation for informational purposes only. Should be completed in English. Traducing all Español para fines information ligament. Ilene el formulation en single. ***** 4A301. Marital
No estamos afiliados con ninguna marca o entidad en este formulario
Obtener, crear y firmar obtener el gratis acuerdo

Edita tu obtener el gratis acuerdo formulario en línea
Escriba texto, campos llenos, inserte imágenes, resalte o borre datos para su discreción, añada comentarios y más.

Añade tu firma legalmente vinculante
Dibuja o escriba su firma, cargue una imagen de firma o la capture con su cámara digital.

Comparte tu formulario al instante
Email, fax, o compartir su obtener el gratis acuerdo vía URL. También puede descargar, imprimir o exportar formularios a su servicio de almacenamiento en la nube preferido.
Cómo cambiar obtener el gratis acuerdo en línea
Apéguese a las sugerencias enumeradas a continuación para aproveche el editor de PDF profesional:
1
Iniciar sesión a su cuentas. Haga clic Comenzar Prueba gratuita y regístrese un información debería no tiene 1 todavía.
2
Agregar un documentos. Escoger Agregue más nuevos en su Panel de control y cambiar datos en el proceso en uno de los adherirse a maneras: agregando a través de su producto o importándolo a través de nube y website, o internal snail mail. Luego, haga clic Comenzar editando y mejorando.
3
Editar obtener el gratis acuerdo. Incluir y reemplazar mensaje de texto, poner nuevos objetos, reorganizar páginas de Internet, agregar más marcas de agua y sitio cantidades, y mucho más. Simplemente haga clic Completado cuando esté completado mejorando y ir a Archivos para combinar , dividir, asegurar o descubrir el documento.
4
Compre su archivo de datos. Encuentre el marca de su propio archivo dentro del documentos lista y elige tu elegido exportando enfoque. Puede descargar como un PDF, guardar en otro más formatear, dar por e -correo, o transferir a nube.
Con pdfFiller, manejar papeles es definitivamente sin complicaciones. Pruébelo ahora!
Seguridad sin concesiones para tus necesidades de edición de PDF y firma electrónica
Tu información privada está segura con pdfFiller. Utilizamos cifrado de extremo a extremo, almacenamiento seguro en la nube y control de acceso avanzado para proteger tus documentos y mantener el cumplimiento normativo.
Cómo rellenar obtener el gratis acuerdo

Cómo completar acuerdo marital de derechos
01
Reunir toda la documentación relevante, incluyendo información financiera, propiedad y deudas compartidas.
02
Sentarse con tu pareja y discutir de manera abierta y honesta los términos que quieren incluir en el acuerdo marital.
03
Es recomendable contratar a un abogado especializado en derecho de familia para que redacte el acuerdo y se asegure de que cumple con todas las leyes y regulaciones aplicables.
04
Revisar el acuerdo marital con detenimiento y firmarlo en presencia de un notario público para que tenga validez legal.
05
Guardar una copia del acuerdo marital en un lugar seguro y accesible en caso de que sea necesario consultarlo en el futuro.
¿Quién necesita acuerdo marital de derechos?
01
Cualquier pareja que esté considerando contraer matrimonio o que ya esté casada y quiera establecer claramente los derechos y responsabilidades de cada uno en caso de divorcio o separación.
02
También es útil para aquellos que deseen proteger sus activos financieros o propiedades individuales en caso de que la relación termine.
Rellenar
form
: Pruébalo sin riesgos
Para las preguntas frecuentes de pdfFiller
A continuación se muestra una lista de las preguntas más comunes de los clientes. Si no puede encontrar una respuesta a su pregunta, no dude en comunicarse con nosotros.
¿Cómo puedo controlar mi obtener el gratis acuerdo desde Gmail?
poner de pdfFiller para Gmail le permite generar y revisar , completar y firmar electrónicamente tu obtener el gratis acuerdo así como cualquier otros papeles obtendrás directamente en tu bandeja de entrada. Visita Google Workspace Marketplace e montar pdfFiller para Gmail. Deshágase de técnicas comer y controlar sus archivos y firmas electrónicas fácilmente.
Debería modificar obtener el gratis acuerdo en un iOS sistema ?
Por supuesto, puedes. Usando el pdfFiller celular aplicación, puede rápidamente modificar, revelar y indicación obtener el gratis acuerdo en su iOS sistema. Consíguelo en Apple Store e configúralo en minutos. El formulario de solicitud es gratis, pero necesitarás generar una cuenta gratuita comprar una membresía o iniciar gratis prueba.
¿Cómo puedo modificar obtener el gratis acuerdo mediante un sistema operativo Android producto?
Puedes hacer cualquier cambio a archivo PDF documentos, incluido obtener el gratis acuerdo, con la ayuda de la aplicación móvil pdfFiller para Android. Revisar, señal y enviar documentos desde su teléfono móvil. Poner la aplicación de iPhone y mejorar tu papeles control en todas partes puedes estar.
¿Qué es acuerdo marital de derechos?
Es un documento legal que establece los derechos y responsabilidades de las partes involucradas en un matrimonio.
¿Quién debe presentar acuerdo marital de derechos?
Las partes involucradas en el matrimonio deben presentar el acuerdo.
¿Cómo completar acuerdo marital de derechos?
El acuerdo marital de derechos debe ser completado con la ayuda de un abogado especializado en derecho matrimonial para asegurar que se cumplan todas las formalidades legales.
¿Cuál es el propósito de acuerdo marital de derechos?
El propósito del acuerdo marital de derechos es establecer las condiciones en las que se regirá el matrimonio, incluyendo la división de bienes en caso de divorcio.
¿Qué información se debe reportar en acuerdo marital de derechos?
En el acuerdo marital de derechos se debe reportar información sobre la distribución de bienes, la manutención de los hijos, y cualquier otra disposición relevante para el matrimonio.
Llena tu obtener el gratis acuerdo en línea con pdfFiller!
pdfFiller es una solución integral para administrar, crear y editar documentos y formularios en la nube. Ahorre tiempo y molestias preparando sus formularios de impuestos en línea.

Obtener El Gratis Acuerdo ¿No es la forma que estás buscando?Busque otro formulario aquí.
Palabras clave relevantes
Formularios relacionados
Si crees que esta página se debe eliminar, sigue nuestro proceso de eliminación DMCA
aquí
.
Este formulario puede incluir campos para la información de pago. Los datos ingresados en estos campos no están cubiertos por el cumplimiento de PCI DSS.