
Obtener el gratis UNA AMENAZA A LA INDEPENDENCIA JUDICIAL
Mostrar detalles
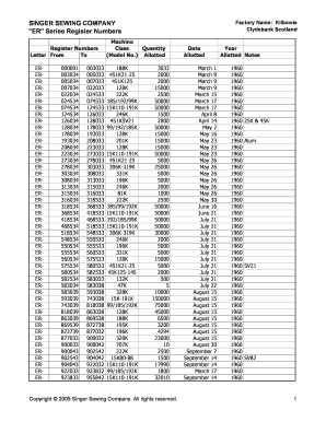
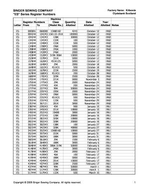
COMISIN DE SELECCIN TRIBUNAL N 1 Acuerdo de 6 de julio 2018. Primer ejercicio 7 de octubre de 2018 Distribucin de aspirantes por sedes y aulasSEDE BARCELONA Universidad Politcnica de Catalua. Paseo
No estamos afiliados con ninguna marca o entidad en este formulario
Obtener, crear y firmar obtener el gratis una

Edita tu obtener el gratis una formulario en línea
Escriba texto, campos llenos, inserte imágenes, resalte o borre datos para su discreción, añada comentarios y más.

Añade tu firma legalmente vinculante
Dibuja o escriba su firma, cargue una imagen de firma o la capture con su cámara digital.

Comparte tu formulario al instante
Email, fax, o compartir su obtener el gratis una vía URL. También puede descargar, imprimir o exportar formularios a su servicio de almacenamiento en la nube preferido.
Cómo puedes cambiar obtener el gratis una en línea
Manténgase a las reglas debajo para hacer uso de las editor de PDF profesional:
1
Iniciar sesión en su cuenta. Simplemente haga clic Iniciar Oferta de prueba y regístrese un perfil si usted no tiene uno sin embargo .
2
Subir un documento. Decidir Poner nuevos en su Panel de control y intercambiar un archivo en el sistema en uno de los siguiente métodos: cargando desde dispositivo o importándolo en la nube y web, o inner postal mail. Luego, haga clic en Empezar editando.
3
Revisar obtener el gratis una. Agregar y intercambiar contenido textual , insertar nuevos cosas, organizar páginas, agregar más marcas de agua y sitio cantidades, y mucho más. Haga clic Llevado a cabo mientras esté terminado modificando y ir a Papeleo para combinar , dividir, asegurar o descubrir el archivo.
4
Obtenga su archivo. Encuentre el título de su archivo en el documentos listado y juzga tu seleccionado exportando método. Puede adquirir como un archivo PDF, preservarlo en otro más estructura, enviar por e -correo, o transferir hacia la nube.
Con pdfFiller, manejar papeleo es definitivamente fácil. Pruébelo ahora!
Seguridad sin concesiones para tus necesidades de edición de PDF y firma electrónica
Tu información privada está segura con pdfFiller. Utilizamos cifrado de extremo a extremo, almacenamiento seguro en la nube y control de acceso avanzado para proteger tus documentos y mantener el cumplimiento normativo.
Cómo rellenar obtener el gratis una

Cómo completar una amenaza a la
01
Identifica el objetivo de la amenaza.
02
Evalúa la información relevante sobre la amenaza.
03
Desarrolla un plan claro y conciso para articular la amenaza.
04
Mantén la confidencialidad y el anonimato si es necesario.
05
Presenta la amenaza de manera precisa, sin ambigüedades.
06
Prepárate para las posibles consecuencias y respuestas a la amenaza.
¿Quién necesita una amenaza a la?
01
Personas que se sienten amenazadas por un entorno hostil.
02
Quienes buscan protegerse legalmente.
03
Individuos o grupos que quieren expresar descontento de manera formal.
04
Organizaciones que necesitan justificar medidas de seguridad.
Rellenar
form
: Pruébalo sin riesgos
Para las preguntas frecuentes de pdfFiller
A continuación se muestra una lista de las preguntas más comunes de los clientes. Si no puede encontrar una respuesta a su pregunta, no dude en comunicarse con nosotros.
¿Cómo llevar a cabo obtener el gratis una en línea?
Hacer y firmar obtener el gratis una en la web es simple con pdfFiller. permite cambiar único PDF material de contenido, enfatizar, apagón, eliminar y escribir texto escrito en todas partes con una página web, oficialmente Firme electrónicamente su desarrollar, y mucho más. Diseñe su sin cargo cuenta bancaria y controle capacitado papeles en internet.
¿Cómo puedo? modificar obtener el gratis una en línea?
Con pdfFiller, el procedimiento de edición y mejora es directo. Abrir su obtener el gratis una dentro del editor, que puede ser notablemente instintivo y fácil de usar. Allí, podrá ser capaz de borrar, redactar, tipo y eliminar contenido textual, añadir gráficos, dibujar flechas y contornos, lugar pegajoso información y texto cajas, más mucho más.
¿Cómo puedo? cambiar obtener el gratis una mediante un sistema operativo Android gadget?
Puedes hacer cualquier modificación a archivo PDF archivos, como obtener el gratis una, con la ayuda de la aplicación móvil pdfFiller para Android. Modificar, indicador y entregar archivos a partir desde su dispositivo móvil. Configurar la aplicación y mejorar tu papeles administrar en cualquier lugar estás.
¿Qué es una amenaza a la?
Una amenaza a la es un aviso formal que se presenta ante una autoridad competente para dar a conocer una posible violación o incumplimiento de regulaciones, normas o leyes.
¿Quién debe presentar una amenaza a la?
Cualquier persona o entidad que tenga conocimiento de una posible violación puede presentar una amenaza a la. Esto incluye empleados, supervisores, o incluso terceros que hayan observado irregularidades.
¿Cómo completar una amenaza a la?
Para completar una amenaza a la, se debe llenar un formulario específico que incluya detalles sobre la violación, las partes involucradas, y cualquier prueba que respalde la denuncia.
¿Cuál es el propósito de una amenaza a la?
El propósito de una amenaza a la es alertar a las autoridades sobre un posible incumplimiento para que se investigue y se tomen las medidas necesarias para corregirlo.
¿Qué información se debe reportar en una amenaza a la?
Se debe reportar información como la descripción del incidente, la fecha y lugar, las personas involucradas, y cualquier prueba disponible que pueda ayudar en la investigación.
Llena tu obtener el gratis una en línea con pdfFiller!
pdfFiller es una solución integral para administrar, crear y editar documentos y formularios en la nube. Ahorre tiempo y molestias preparando sus formularios de impuestos en línea.

Obtener El Gratis Una ¿No es la forma que estás buscando?Busque otro formulario aquí.
Palabras clave relevantes
Formularios relacionados
Si crees que esta página se debe eliminar, sigue nuestro proceso de eliminación DMCA
aquí
.
Este formulario puede incluir campos para la información de pago. Los datos ingresados en estos campos no están cubiertos por el cumplimiento de PCI DSS.