Obtener el gratis Cns Paragraph Form
Mostrar detalles
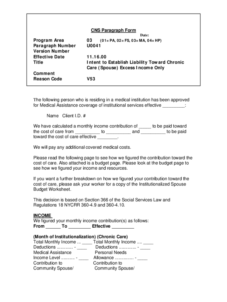
Este documento calcula la contribución monthly de ingresos que debe pagarse hacia los costos de atención médica de un cónyuge institucionalizado y proporciona una hoja de cálculo de presupuesto
No estamos afiliados con ninguna marca o entidad en este formulario
Obtener, crear y firmar obtener el gratis cns
Edita tu obtener el gratis cns formulario en línea
Escriba texto, campos llenos, inserte imágenes, resalte o borre datos para su discreción, añada comentarios y más.
Añade tu firma legalmente vinculante
Dibuja o escriba su firma, cargue una imagen de firma o la capture con su cámara digital.
Comparte tu formulario al instante
Email, fax, o compartir su obtener el gratis cns vía URL. También puede descargar, imprimir o exportar formularios a su servicio de almacenamiento en la nube preferido.
La mejor manera de cambiar obtener el gratis cns en Internet
Utilice direcciones debajo para comenzar usando nuestro profesional PDF editor:
1
Registrarse la cuenta bancaria. Empezar por visitando Iniciar Oferta de prueba y cree una información cuando lo seas un nuevo consumidor.
2
Prepare un archivo. Utilice el Incluir Nuevo botón. Luego, publique su archivo en el proceso fuera de su sistema, importándolo desde interno correo postal, la nube, o al tener su Enlace.
3
Cambiar obtener el gratis cns. Organizar y girar páginas web, colocar nuevo y ajustar presente mensajes de texto, agregue más nuevos cosas, y aproveche otras útiles recursos. Simplemente haga clic Hecho para utilizar modificaciones y beneficio en su Tablero de control. Ir a pestaña Papeles para obtener acceso a fusionar, dividir y sellando o desatando características.
4
Guarde su enviar. Seleccione dentro del selección de sus registros. Luego, cambiar el cursor a la derecha barra de herramientas y elegir uno de varios accesible exportar estrategias: guardar en un número de formatos, descargar como ser un archivo PDF, dar por correo electrónico, o comprar dentro de la nube.
pdfFiller hace trabajar con documentos más simple de lo que podrías en cualquier momento visualizar. Regístrese para su cuenta para ver por su cuenta!
Seguridad sin concesiones para tus necesidades de edición de PDF y firma electrónica
Tu información privada está segura con pdfFiller. Utilizamos cifrado de extremo a extremo, almacenamiento seguro en la nube y control de acceso avanzado para proteger tus documentos y mantener el cumplimiento normativo.
Cómo rellenar obtener el gratis cns
Cómo completar cns paragraph form
01
Reúne la información necesaria sobre el caso que estás documentando.
02
Lee las instrucciones del formulario CNS para entender qué se requiere.
03
Completa la sección de introducción del párrafo, estableciendo el contexto.
04
Desarrolla los hechos relevantes, asegurándote de ser claro y conciso.
05
Incluye análisis o interpretaciones si es necesario.
06
Concluye con un resumen que sintetice los puntos clave.
07
Revisa el párrafo para corregir errores gramaticales o de contenido.
¿Quién necesita cns paragraph form?
01
Profesionales de la salud que deben documentar casos clínicos.
02
Investigadores que necesiten reportar hallazgos de estudios.
03
Estudiantes en formación que practiquen la escritura clínica.
04
Organizaciones que requieran informes de casos para su análisis.
Rellenar
form
: Pruébalo sin riesgos
Para las preguntas frecuentes de pdfFiller
A continuación se muestra una lista de las preguntas más comunes de los clientes. Si no puede encontrar una respuesta a su pregunta, no dude en comunicarse con nosotros.
¿Cómo puedo manejar mi obtener el gratis cns directamente desde Gmail?
agregar más de pdfFiller para Gmail le permite producir y revisar , enviar y firmar electrónicamente tu obtener el gratis cns y luego cualquier otros papeleo obtienes directamente en tu bandeja de entrada. Echa un vistazo Google Workspace Marketplace e configurar pdfFiller para Gmail. Acabe con técnicas que consumen mucho tiempo y tratar sus archivos y firmas electrónicas fácilmente.
Cómo puedo revisar obtener el gratis cns de Motores de búsqueda Generar?
Usted puede rápidamente impulsar su archivo gestión y formulario planificación al integrar pdfFiller con Google Docs permitirle producir, editar y señal papeleo desde su Yahoo Generate. El agregar-on permite mejorar su obtener el gratis cns en un dinámico rellenable tipo que puedes manejar y eSign desde el en línea-conectado producto.
¿Cómo cambiar obtener el gratis cns en un Android producto?
Puedes hacer cualquier cambio a archivo PDF registros, como obtener el gratis cns, mediante la ayuda de la aplicación móvil pdfFiller para Android. Modificar, indicación y dar papeleo a partir desde su teléfono móvil. Montar la aplicación y agilizar tu documento administración donde sea estás.
¿Qué es cns paragraph form?
CNS paragraph form es un formato utilizado para reportar información relacionada con la salud y la seguridad de los consumidores en situaciones específicas.
¿Quién debe presentar cns paragraph form?
Este formulario debe ser presentado por profesionales de la salud, organizaciones encargadas de la seguridad alimentaria o cualquier entidad que necesite reportar incidentes o datos relevantes sobre la salud pública.
¿Cómo completar cns paragraph form?
Para completar el CNS paragraph form, se deben seguir las instrucciones específicas del formulario, proporcionando datos precisos como la identificación del caso, la descripción del incidente y la información de contacto del reportante.
¿Cuál es el propósito de cns paragraph form?
El propósito del CNS paragraph form es recopilar y estandarizar información importante para la evaluación de riesgos y la respuesta a problemas de salud pública.
¿Qué información se debe reportar en cns paragraph form?
En el CNS paragraph form se debe reportar información como la naturaleza del evento, la fecha y lugar del incidente, la identificación de las personas afectadas, y cualquier acción tomada o recomendación emitida.
Llena tu obtener el gratis cns en línea con pdfFiller!
pdfFiller es una solución integral para administrar, crear y editar documentos y formularios en la nube. Ahorre tiempo y molestias preparando sus formularios de impuestos en línea.
Obtener El Gratis Cns ¿No es la forma que estás buscando?Busque otro formulario aquí.
Palabras clave relevantes
Formularios relacionados
Si crees que esta página se debe eliminar, sigue nuestro proceso de eliminación DMCA
aquí
.
Este formulario puede incluir campos para la información de pago. Los datos ingresados en estos campos no están cubiertos por el cumplimiento de PCI DSS.