Holen Sie sich kostenlos Fragebogen f r Auszubildende/Sch ler und Studierende - dpfonline
Details anzeigen
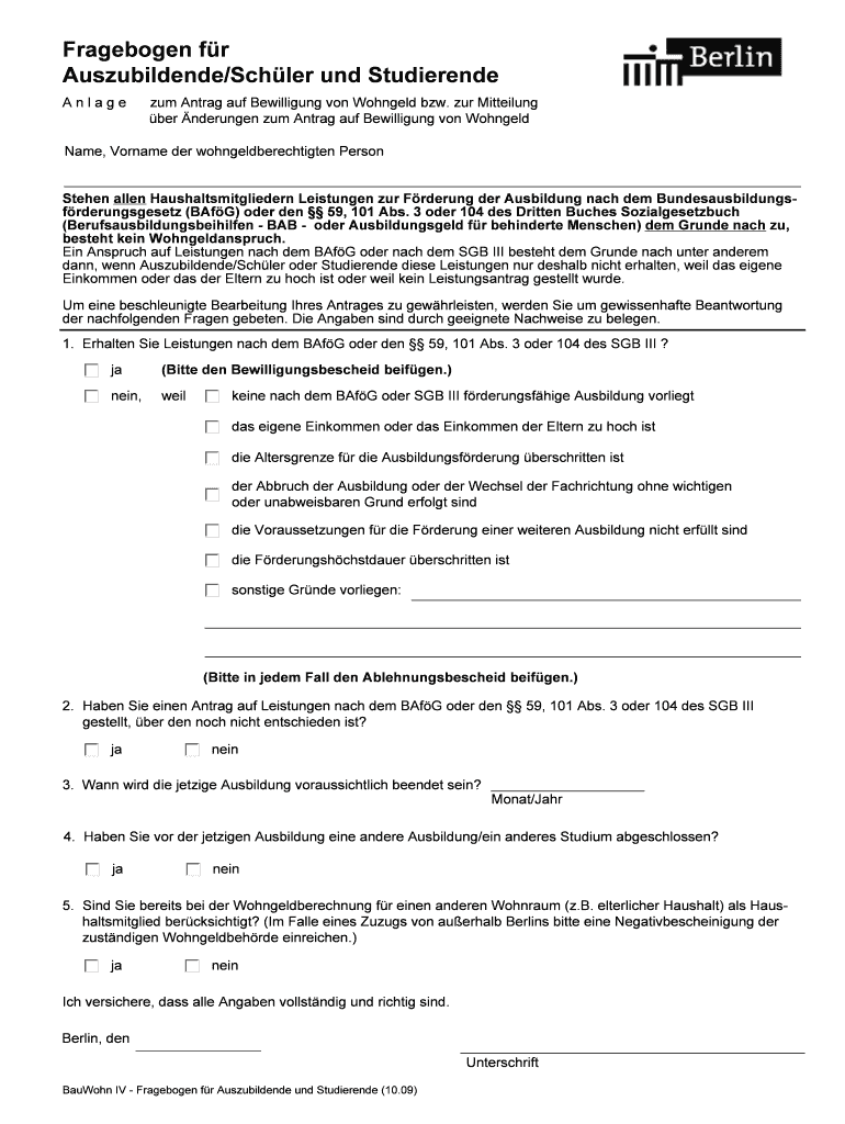
Fragebogen for Auszubildende×Schlep UND Studierende Engage sum Ant rag AUF Bewilligung on Wounded BMW. Our Mittagong BER drunken sum Ant rag AUF Bewilligung on Wounded Name, Surname her wohngeldberechtigten
Wir sind mit keiner Marke oder Entität auf diesem Formular verbunden
Abrufen, Erstellen, Anfertigen und Unterschreiben holen sie sich kostenlos
Bearbeiten holen sie sich kostenlos online Formular
Geben Sie Text ein, füllen Sie die Felder vollständig aus, fügen Sie Bilder ein, markieren Sie die Daten für Diskretion, fügen Sie Kommentare und vieles mehr ein.
Fügen Sie Ihre rechtlich bindende Signatur hinzu
Zeichnen oder tippen Sie Ihre Unterschrift, laden Sie ein Unterschriftsbild hoch oder nehmen Sie es mit Ihrer Digitalkamera auf.
Teilen Sie Ihr Formular sofort
E-Mail, Fax oder teilen Sie Ihre holen sie sich kostenlos -Formular via URL angeben. Sie können Formulare auch herunterladen, drucken oder in Ihren bevorzugten Cloudspeicherdienst exportieren.
Wie man holen sie sich kostenlos online bearbeitet
Gehen Sie die folgenden Schritte durch um den professionellen PDF-Editor zu nutzen :
1
Erstellen Sie ein Konto. Wenn Sie neu sind, klicken Sie auf Kostenlos testen und legen Sie ein Profil an.
2
Laden Sie ein Dokument hoch. Wählen Sie Neues hinzufügen in Ihrem Dashboard und übertragen Sie eine Datei auf das System, entweder indem Sie sie von Ihrem Gerät hochladen oder aus der Cloud, dem Web oder einer internen E-Mail importieren. Klicken Sie dann auf Bearbeiten beginnen.
3
Bearbeiten Sie holen sie sich kostenlos. Text kann hinzugefügt oder ersetzt werden, neue Objekte können eingefügt werden, Seiten können neu angeordnet werden, Wasserzeichen und Seitenzahlen können hinzugefügt werden usw. Wenn Sie fertig sind, klicken Sie auf Fertig und wechseln zum Dokumente-Tab, um Dokumente zu verbinden, zu teilen oder zu sperren bzw. zu entsperren.
4
Holen Sie sich Ihre Datei. Gehen Sie zu Ihrer Dokumentenliste, wählen Sie die Datei, die Sie bearbeitet haben, und wählen Sie, wie Sie sie exportieren möchten. Sie können sie als PDF herunterladen, in einem anderen Format speichern, per E-Mail versenden, mit anderen teilen, ausdrucken oder in einer anderen Anwendung öffnen. Achten Sie darauf, dass Sie alles gespeichert haben, bevor Sie exportieren.
Wir schätzen Ihre Wahl und bedanken uns für Ihr Vertrauen! Wir freuen uns, Sie in Zukunft weiterhin unterstützen zu können und hoffen, dass Sie mit unserem Service zufrieden sind.
Kompromisslose Sicherheit für Ihre PDF-Bearbeitungs- und eSignature-Anforderungen
Ihre privaten Informationen sind bei pdfFiller sicher. Wir verwenden durchgehende Verschlüsselung, sicheren Cloud-Speicher und erweiterte Zugriffskontrollen, um Ihre Dokumente zu schützen und die Einhaltung von Vorschriften zu gewährleisten.
Ausfüllen holen sie sich kostenlos
So füllen Sie fragebogen f r auszubildendesch aus
01
Füllen Sie den Fragebogen mit Ihren persönlichen Daten aus, wie Name, Adresse, Kontaktnummer, etc.
02
Beantworten Sie alle Fragen wahrheitsgemäß und vollständig.
03
Überprüfen Sie Ihre Antworten und korrigieren Sie mögliche Fehler.
04
Unterschreiben Sie den Fragebogen und legen Sie ihn bei Bedarf den entsprechenden Unterlagen bei.
Wer braucht fragebogen f r auszubildendesch?
01
Auszubildende benötigen den Fragebogen, um wichtige Informationen über sich selbst anzugeben und den Ausbildungsplatz zu beantragen.
02
Arbeitgeber benötigen den Fragebogen, um die Eignung und Qualifikationen der Auszubildenden zu überprüfen und eine informierte Entscheidung zu treffen.
Ausfüllen
form
: Testen Sie risikofrei
FAQs über pdfFiller
Unten finden Sie eine Liste der häufigsten Kundenfragen. Wenn Sie keine Antwort auf Ihre Frage finden, zögern Sie nicht, uns zu kontaktieren.
Wie führe ich holen sie sich kostenlos online aus?
Das Ausfüllen und elektronische Signieren von holen sie sich kostenlos ist jetzt einfach. Die Lösung ermöglicht es Ihnen, den Inhalt von PDFs zu ändern und neu anzuordnen, ausfüllbare Felder hinzuzufügen und das Dokument elektronisch zu signieren. Starten Sie eine kostenlose Testversion von pdfFiller, der besten Dokumentenbearbeitungslösung.
Kann ich das holen sie sich kostenlos in Chrome elektronisch signieren?
Ja, mit pdfFiller für Chrome können Sie Dokumente signieren und alle Funktionen des PDF-Editors an einem Ort nutzen. Erstellen Sie eine rechtlich durchsetzbare eSignatur, indem Sie sie zeichnen, eingeben oder ein Bild Ihrer handschriftlichen Signatur hochladen. Sie können Ihr holen sie sich kostenlos in Sekundenschnelle elektronisch signieren.
Wie kann ich holen sie sich kostenlos auf einem Android-Gerät ausfüllen?
Verwenden Sie die pdfFiller-Android-App, um Ihr holen sie sich kostenlos und andere Dokumente auf Ihrem Android-Handy zu vervollständigen. Die App verfügt über alle Funktionen, die Sie für die Verwaltung Ihrer Dokumente benötigen, wie das Bearbeiten von Inhalten, das elektronische Signieren, das Annotieren, das Teilen von Dateien und mehr. Sie können Ihre Unterlagen jederzeit anzeigen, solange eine Internetverbindung besteht.
Was ist Fragebogen für Auszubildende?
Der Fragebogen für Auszubildende ist ein Formular, das von Auszubildenden ausgefüllt werden muss, um Informationen über ihre Ausbildung zu melden.
Wer muss Fragebogen für Auszubildende einreichen?
Auszubildende sind verpflichtet, den Fragebogen für Auszubildende einzureichen.
Wie fülle ich Fragebogen für Auszubildende aus?
Der Fragebogen für Auszubildende muss in der Regel online oder in Papierform ausgefüllt werden, je nach den Vorgaben des Ausbildungsbetriebs.
Was ist der Zweck von Fragebogen für Auszubildende?
Der Zweck des Fragebogens für Auszubildende besteht darin, Informationen über den Fortschritt und die Erfahrungen der Auszubildenden während ihrer Ausbildung zu sammeln.
Welche Informationen müssen auf Fragebogen für Auszubildende gemeldet werden?
Auf dem Fragebogen für Auszubildende müssen in der Regel Angaben zur persönlichen Entwicklung, zur Zufriedenheit mit der Ausbildung und zu eventuellen Problemen gemacht werden.
Füllen Sie Ihr aus holen sie sich kostenlos online mit pdfFiller!
pdfFiller ist eine End-to-End-Lösung zum Verwalten, Erstellen und Bearbeiten von Dokumenten und Formularen in der Cloud. Sparen Sie Zeit und Aufwand, indem Sie Ihre Steuerformulare online vorbereiten.
Holen Sie Sich Kostenlos ist nicht das Formular, das Sie suchen?Suchen Sie hier nach einem anderen Formular.
Relevante Schlüsselwörter
Ähnliche Formulare
Wenn Sie der Meinung sind, dass diese Seite entfernt werden sollte, folgen Sie bitte unserem DMCA-Verfahren zur Entfernung von Inhalten
hier
.
Dieses Formular kann Felder für Zahlungsinformationen enthalten. Daten, die in diese Felder eingegeben werden, fallen nicht unter die PCI DSS-Compliance.