Holen Sie sich kostenlos 3325732 - SAP Business One Support and SAP for Me
Details anzeigen
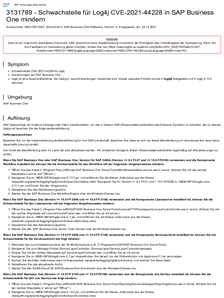
SAP Knowledge Base Article3131789 Schwachstelle fr Log4j CVE202144228 in SAP Business One mindern Komponente: SBOCROSEC (Sicherheit in SAPBusinessOneSoftware), Version: 5, Freigegeben am: 22.12.2021Achtung!
Wir sind mit keiner Marke oder Entität auf diesem Formular verbunden
Abrufen, Erstellen, Anfertigen und Unterschreiben holen sie sich kostenlos
Bearbeiten holen sie sich kostenlos online Formular
Geben Sie Text ein, füllen Sie die Felder vollständig aus, fügen Sie Bilder ein, markieren Sie die Daten für Diskretion, fügen Sie Kommentare und vieles mehr ein.
Fügen Sie Ihre rechtlich bindende Signatur hinzu
Zeichnen oder tippen Sie Ihre Unterschrift, laden Sie ein Unterschriftsbild hoch oder nehmen Sie es mit Ihrer Digitalkamera auf.
Teilen Sie Ihr Formular sofort
E-Mail, Fax oder teilen Sie Ihre holen sie sich kostenlos -Formular via URL angeben. Sie können Formulare auch herunterladen, drucken oder in Ihren bevorzugten Cloudspeicherdienst exportieren.
Online-Bearbeitung von holen sie sich kostenlos
Nutzen Sie die Anweisungen unten, um mit unserem professionellen PDF-Editor zu starten :
1
Erstellen Sie ein Konto. Wenn Sie neu sind, klicken Sie auf Kostenlos testen und legen Sie ein Profil an.
2
Fügen Sie ein Dokument hinzu. Wählen Sie Neues hinzufügen auf Ihrem Dashboard und importieren Sie eine Datei ins System, indem Sie sie von Ihrem Gerät hochladen oder aus der Cloud, dem Web oder einer internen E-Mail importieren. Anschließend klicken Sie auf Bearbeiten starten.
3
Bearbeiten Sie holen sie sich kostenlos. Ersetzen Sie Text, fügen Sie Objekte hinzu, ordnen Sie Seiten neu an usw. Wählen Sie anschließend den Dokumente-Tab, um Dokumente zu kombinieren, zu teilen oder zu sperren bzw. zu entsperren.
4
Erhalten Sie Ihr bearbeitetes Dokument. Wählen Sie Ihre bearbeitete Datei aus der Dokumentenliste und wählen Sie Ihre bevorzugte Methode, um sie zu erhalten. Sie können die Datei im PDF-Format herunterladen, in einem anderen Format speichern, sie per E-Mail versenden, mit anderen teilen, ausdrucken oder in einer anderen App öffnen. Achten Sie darauf, dass Sie alle Änderungen vorgenommen und gespeichert haben, bevor Sie weitermachen.
Wir schätzen Ihre Wahl und bedanken uns für Ihr Vertrauen! Wir wünschen Ihnen viel Erfolg mit Ihrem bearbeiteten Dokument und hoffen, dass Sie wieder bei uns vorbeischauen.
Kompromisslose Sicherheit für Ihre PDF-Bearbeitungs- und eSignature-Anforderungen
Ihre privaten Informationen sind bei pdfFiller sicher. Wir verwenden durchgehende Verschlüsselung, sicheren Cloud-Speicher und erweiterte Zugriffskontrollen, um Ihre Dokumente zu schützen und die Einhaltung von Vorschriften zu gewährleisten.
Ausfüllen holen sie sich kostenlos
So füllen Sie 3325732 - sap business aus
01
Gehen Sie zur Website des Anbieters von SAP Business und klicken Sie auf die Schaltfläche 'Anmeldung'.
02
Füllen Sie das Anmeldeformular mit Ihren persönlichen Daten aus und klicken Sie auf 'Absenden'.
03
Warten Sie auf die Bestätigung Ihrer Anmeldung und folgen Sie den Anweisungen zur Einrichtung Ihres Kontos.
04
Sobald Ihr Konto eingerichtet ist, können Sie die Funktionen und Dienste von SAP Business nutzen.
Wer braucht 3325732 - sap business?
01
Unternehmen, die ihre Geschäftsprozesse optimieren und ihre Effizienz steigern möchten, benötigen 3325732 - sap business.
Ausfüllen
form
: Testen Sie risikofrei
FAQs über pdfFiller
Unten finden Sie eine Liste der häufigsten Kundenfragen. Wenn Sie keine Antwort auf Ihre Frage finden, zögern Sie nicht, uns zu kontaktieren.
Wie bearbeite ich holen sie sich kostenlos direkt von meinem Smartphone aus?
Die mobilen Apps von pdfFiller für iOS und Android sind der einfachste Weg, Dokumente unterwegs zu bearbeiten. Sie können sie im Apple Store und bei Google Play herunterladen. Weitere Informationen zu den Apps finden Sie hier. Installieren Sie die Anwendung und melden Sie sich an, um holen sie sich kostenlos zu bearbeiten.
Wie bearbeite ich holen sie sich kostenlos auf einem iOS-Gerät?
Verwenden Sie die pdfFiller-App für iOS, um holen sie sich kostenlos auf Ihrem Telefon zu erstellen, zu bearbeiten und zu teilen. Sie lässt sich im Apple Store im Handumdrehen installieren. Sie können eine kostenlose Testversion nutzen und ein Abonnement auswählen, das zu Ihnen passt.
Wie fülle ich holen sie sich kostenlos auf einem iOS-Gerät aus?
pdfFiller hat eine iOS-App, mit der Sie Dokumente auf Ihrem Telefon ausfüllen können. Wenn Sie über ein Abonnement für den Service verfügen, können Sie ein Konto erstellen oder sich anmelden. Nach Abschluss des Anmeldevorgangs laden Sie Ihr holen sie sich kostenlos hoch. Sie können nun die erweiterten Funktionen von pdfFiller nutzen, wie das Hinzufügen von ausfüllbaren Feldern und das elektronische Signieren von Dokumenten, sowie den Zugriff von jedem Gerät aus, egal wo Sie sich befinden.
Was ist 3325732 - sap business?
3325732 - sap business ist ein spezifisches Formular oder eine Berichterstattung, die im Rahmen der SAP-Software genutzt wird, um Geschäftsdaten und -informationen zu verwalten und zu analysieren.
Wer muss 3325732 - sap business einreichen?
Die Personen oder Unternehmen, die eine SAP-basierte Geschäftsanwendung nutzen und verpflichtet sind, bestimmte Geschäftsdaten zu berichten, müssen 3325732 - sap business einreichen.
Wie fülle ich 3325732 - sap business aus?
Um 3325732 - sap business auszufüllen, müssen die Benutzer die erforderlichen Felder im Formular mit den relevanten Geschäftsdaten ausfüllen und die Anweisungen im Begleitdokument befolgen.
Was ist der Zweck von 3325732 - sap business?
Der Zweck von 3325732 - sap business besteht darin, eine strukturierte Erfassung und Abgabe von wichtigen Geschäftsinformationen zu gewährleisten, die für Analysen und Entscheidungsfindungen erforderlich sind.
Welche Informationen müssen auf 3325732 - sap business gemeldet werden?
Auf 3325732 - sap business müssen Informationen über Geschäftstransaktionen, finanzielle Daten und andere relevante betriebliche Kennzahlen gemeldet werden.
Füllen Sie Ihr aus holen sie sich kostenlos online mit pdfFiller!
pdfFiller ist eine End-to-End-Lösung zum Verwalten, Erstellen und Bearbeiten von Dokumenten und Formularen in der Cloud. Sparen Sie Zeit und Aufwand, indem Sie Ihre Steuerformulare online vorbereiten.
Holen Sie Sich Kostenlos ist nicht das Formular, das Sie suchen?Suchen Sie hier nach einem anderen Formular.
Relevante Schlüsselwörter
Ähnliche Formulare
Wenn Sie der Meinung sind, dass diese Seite entfernt werden sollte, folgen Sie bitte unserem DMCA-Verfahren zur Entfernung von Inhalten
hier
.
Dieses Formular kann Felder für Zahlungsinformationen enthalten. Daten, die in diese Felder eingegeben werden, fallen nicht unter die PCI DSS-Compliance.